Resolution of the identity
A one-parameter family
,
, of orthogonal projection operators acting on a Hilbert space
, such that
1)
if
;
2)
is strongly left continuous, i.e.
for every
;
3)
as
and
as
; here 0 and
are the zero and the identity operator on the space
.
Condition 2) can be replaced by the condition of strong right continuity at every point
.
Every self-adjoint operator
acting on
generates in a unique way a resolution of the identity. Here, in addition to 1)–3), the following conditions also hold:
4) if
is a bounded operator such that
, then
for any
;
5) if
is a bounded operator and
,
are its greatest lower and least upper bounds, respectively, then
![]() |
The resolution of the identity given by the operator
completely determines the spectral properties of that operator, namely:
a) a point
is a regular point of
if and only if it is a point of constancy, that is, if there is a
such that
for
;
b) a point
is an eigenvalue of
if and only if at this point
has a jump, that is,
;
g) if
, then
is an invariant subspace of
.
Hence the resolution of the identity determined by the operator
is also called the spectral function of this operator (cf. Spectral resolution).
Conversely, every resolution of the identity
uniquely determines a self-adjoint operator
for which this resolution is the spectral function. The domain of definition
of
consists exactly of those
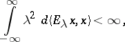
for which
![]() |
and there is a representation of
as an operator Stieltjes integral:
![]() |
References
| [1] | F. Riesz, B. Szökefalvi-Nagy, "Functional analysis" , F. Ungar (1955) (Translated from French) |
| [2] | N.I. Akhiezer, I.M. Glazman, "Theory of linear operators in a Hilbert space" , 1–2 , F. Ungar (1961–1963) (Translated from Russian) |
| [3] | L.V. Kantorovich, G.P. Akilov, "Functional analysis in normed spaces" , Pergamon (1964) (Translated from Russian) |
Comments
To the property
) mentioned above one may add that the spectrum of the restriction of
to
is contained in the set
.
Resolution of the identity. Encyclopedia of Mathematics. URL: http://encyclopediaofmath.org/index.php?title=Resolution_of_the_identity&oldid=13743


