Fredholm theorems
for integral equations
Theorem 1.
The homogeneous equation
![]() | (1) |
and its transposed equation
![]() | (2) |
have, for a fixed value of the parameter
, either only the trivial solution, or have the same finite number of linearly independent solutions:
;
.
Theorem 2.
For a solution of the inhomogeneous equation
![]() | (3) |
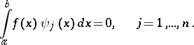
to exist it is necessary and sufficient that its right-hand side be orthogonal to a complete system of linearly independent solutions of the corresponding homogeneous transposed equation (2):
![]() | (4) |
Theorem 3.
(the Fredholm alternative). Either the inhomogeneous equation (3) has a solution, whatever its right-hand side
, or the corresponding homogeneous equation (1) has non-trivial solutions.
Theorem 4.
The set of characteristic numbers of equation (1) is at most countable, with a single possible limit point at infinity.
For the Fredholm theorems to hold in the function space
it is sufficient that the kernel
of equation (3) be square-integrable on the set
(
and
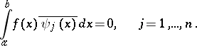
may be infinite). When this condition is violated, (3) may turn out to be a non-Fredholm integral equation. When the parameter
and the functions involved in (3) take complex values, then instead of the transposed equation (2) one often considers the adjoint equation to (1):
![]() |
In this case condition (4) is replaced by
![]() |
These theorems were proved by E.I. Fredholm [1].
References
| [1] | E.I. Fredholm, "Sur une classe d'equations fonctionnelles" Acta Math. , 27 (1903) pp. 365–390 |
Comments
Instead of the phrases "transposed equation" and "adjoint equation" one sometimes uses "adjoint equation of a Fredholm integral equationadjoint equation" and "conjugate equation of a Fredholm integral equationconjugate equation" (cf. [a4]); in the latter terminology
is replaced by
.
References
| [a1] | I.C. Gohberg, S. Goldberg, "Basic operator theory" , Birkhäuser (1981) |
| [a2] | K. Jörgens, "Lineare Integraloperatoren" , Teubner (1970) |
| [a3] | V.I. Smirnov, "A course of higher mathematics" , 4 , Addison-Wesley (1964) (Translated from Russian) |
| [a4] | P.P. Zabreiko (ed.) A.I. Koshelev (ed.) M.A. Krasnoselskii (ed.) S.G. Mikhlin (ed.) L.S. Rakovshchik (ed.) V.Ya. Stet'senko (ed.) T.O. Shaposhnikova (ed.) R.S. Anderssen (ed.) , Integral equations - a reference text , Noordhoff (1975) (Translated from Russian) |
Fredholm theorems. Encyclopedia of Mathematics. URL: http://encyclopediaofmath.org/index.php?title=Fredholm_theorems&oldid=12814





