Discrete series (of representations)
The family of continuous irreducible unitary representations of a locally compact group
which are equivalent to the subrepresentations of the regular representation of this group. If the group
is unimodular, then a continuous irreducible unitary representation
of
belongs to the discrete series if and only if the matrix entries of
lie in
. In such a case there exists a positive number
, known as the formal degree of the representation
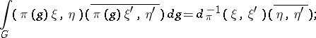
, such that the relations
![]() | (1) |
![]() | (2) |
are satisfied for all vectors
of the space
of the representation
. If
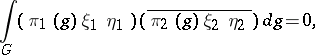
and
are two non-equivalent representations of
in the spaces
and
, respectively, which belong to the discrete series, then the relations
![]() | (3) |
![]() | (4) |
are valid for all
,
. The relations (1)–(4) are generalizations of the orthogonality relations for the matrix entries of representations of compact topological groups (cf. Representation of a compact group); the group
is compact if and only if all continuous irreducible unitary representations of
belong to the discrete series, and if
is compact and the Haar measure
satisfies the condition
, then the number
coincides with the dimension of the representation
. Simply-connected nilpotent real Lie groups and complex semi-simple Lie groups have no discrete series.
The equivalence class of a representation
forming part of the discrete series is a closed point in the dual space
of the group
, and the Plancherel measure of this point coincides with the formal degree
; if, in addition, some non-zero matrix entry of the representation
is summable, the representation
is an open point in the support of the regular representation of
, but open points in
need not correspond to representations of the discrete series. The properties of discrete series representations may be partly extended to the case of non-unimodular locally compact groups.
References
| [1] | J. Dixmier, " algebras" , North-Holland (1977) (Translated from French) |
| [2a] | Harish-Chandra, "Discrete series for semisimple Lie groups I" Acta Math. , 113 (1965) pp. 241–318 |
| [2b] | Harish-Chandra, "Discrete series for semisimple Lie groups II" Acta Math. , 116 (1966) pp. 1–111 |
| [3] | W. Schmid, " -cohomology and the discrete series" Ann. of Math. , 103 (1976) pp. 375–394 |
| [4a] | A. Kleppner, R. Lipsman, "The Plancherel formula for group extensions" Ann. Sci. Ecole Norm. Sup. , 5 (1972) pp. 459–516 |
| [4b] | A. Kleppner, R. Lipsman, "The Plancherel formula for group extensions II" Ann. Sci. Ecole Norm. Sup. , 6 (1973) pp. 103–132 |
Comments
Especially for a semi-simple Lie group the representations belonging to the discrete series of the group or of some of its subgroups play an essential role in the harmonic analysis on the group.
References
| [a1] | V.S. Varadarajan, "Harmonic analysis on real reductive groups" , Springer (1977) |
Discrete series (of representations). Encyclopedia of Mathematics. URL: http://encyclopediaofmath.org/index.php?title=Discrete_series_(of_representations)&oldid=13646




algebras" , North-Holland (1977) (Translated from French)
-cohomology and the discrete series" Ann. of Math. , 103 (1976) pp. 375–394