Dirichlet series
A series of the form
![]() | (1) |
where the
are complex coefficients,
,
, are the exponents of the series, and
is a complex variable. If
, one obtains the so-called ordinary Dirichlet series
![]() |
The series
![]() |
represents the Riemann zeta-function for
. The series
![]() |
where
is a function, known as a Dirichlet character, were studied by P.G.L. Dirichlet (cf. Dirichlet
-function). Series (1) with arbitrary exponents
are known as general Dirichlet series.
General Dirichlet series with positive exponents.
Let, initially, the
be positive numbers. The analogue of the Abel theorem for power series is then valid: If the series (1) converges at a point
, it will converge in the half-plane
, and it will converge uniformly inside an arbitrary angle
. The open domain of convergence of the series is some half-plane
. The number
is said to be the abscissa of convergence of the Dirichlet series; the straight line
is said to be the axis of convergence of the series, and the half-plane
is said to be the half-plane of convergence of the series. As well as the half-plane of convergence one also considers the half-plane of absolute convergence of the Dirichlet series,
: The open domain in which the series converges absolutely (here
is the abscissa of absolute convergence). In general, the abscissas of convergence and of absolute convergence are different. But always:
![]() |
and there exist Dirichlet series for which
. If
, the abscissa of convergence (abscissa of absolute convergence) is computed by the formula
![]() |
which is the analogue of the Cauchy–Hadamard formula. The case
is more complicated: If the magnitude
![]() |
is positive, then
; if
and the series (1) diverges at the point
, then
; if
and the series (1) converges at the point
, then
![]() |
The sum of the series,
, is an analytic function in the half-plane of convergence. If
, the function
asymptotically behaves as the first term of the series,
(if
). If the sum of the series is zero, then all coefficients of the series are zero. The maximal half-plane
in which
is an analytic function is said to be the half-plane of holomorphy of the function
, the straight line
is known as the axis of holomorphy and the number
is called the abscissa of holomorphy. The inequality
is true, and cases when
are possible. Let
be the greatest lower bound of the numbers
for which
is bounded in modulus in the half-plane
(
). The formula
![]() |
is valid, and entails the inequalities
![]() |
which are analogues of the Cauchy inequalities for the coefficients of a power series.
The sum of a Dirichlet series cannot be an arbitrary analytic function in some half-plane
; it must, for example, tend to zero if
. However, the following holds: Whatever the analytic function
in the half-plane
, it is possible to find a Dirichlet series (1) such that its sum
will differ from
by an entire function.
If the sequence of exponents has a density
![]() |
the difference between the abscissa of convergence (the abscissas of convergence and of absolute convergence coincide) and the abscissa of holomorphy does not exceed
![]() |
and there exist series for which this difference equals
. The value of
may be arbitrary in
; in particular, if
,
then
. The axis of holomorphy has the following property: On any of its segments of length
the sum of the series has at least one singular point.
If the Dirichlet series (1) converges in the entire plane, its sum
is an entire function. Let
![]() |
then the R-order of the entire function
(Ritt order) is the magnitude
![]() |
Its expression in terms of the coefficients of the series is
![]() |
One can also introduce the concept of the R-type of a function
.
If
![]() |
and if the function
is bounded in modulus in a horizontal strip wider than
, then
(the analogue of one of the Liouville theorems).
Dirichlet series with complex exponents.
For a Dirichlet series
![]() | (2) |
with complex exponents
, the open domain of absolute convergence is convex. If
![]() |
the open domains of convergence and absolute convergence coincide. The sum
of the series (2) is an analytic function in the domain of convergence. The domain of holomorphy of
is, generally speaking, wider than the domain of convergence of the Dirichlet series (2). If
![]() |
then the domain of holomorphy is convex.
Let
![]() |
let
be an entire function of exponential type which has simple zeros at the points
,
; let
be the Borel-associated function to
(cf. Borel transform); let
be the smallest closed convex set containing all the singular points of
, and let
![]() |
Then the functions
are regular outside
,
, and they are bi-orthogonal to the system
:
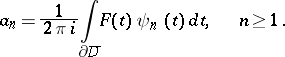
![]() |
where
is a closed contour encircling
. If the functions
are continuous up to the boundary of
, the boundary
may be taken as
. To an arbitrary analytic function
in
(the interior of the domain
) which is continuous in
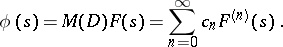
one assigns a series:
![]() | (3) |
![]() |
For a given bounded convex domain
it is possible to construct an entire function
with simple zeros
such that for any function
analytic in
and continuous in
the series (3) converges uniformly inside
to
. For an analytic function
in
(not necessarily continuous in
) it is possible to find an entire function of exponential type zero,
![]() |
and a function
analytic in
and continuous in
, such that
![]() |
Then
![]() |
The representation of arbitrary analytic functions by Dirichlet series in a domain
was also established in cases when
is the entire plane or an infinite convex polygonal domain (bounded by a finite number of rectilinear segments).
References
| [1] | A.F. Leont'ev, "Exponential series" , Moscow (1976) (In Russian) |
| [2] | S. Mandelbrojt, "Dirichlet series, principles and methods" , Reidel (1972) |
Comments
References
| [a1] | G.H. Hardy, M. Riesz, "The general theory of Dirichlet series" , Cambridge Univ. Press (1915) |
Dirichlet series. Encyclopedia of Mathematics. URL: http://encyclopediaofmath.org/index.php?title=Dirichlet_series&oldid=13579


























