Namespaces
Variants
Actions

Sokhotskii formulas

From Encyclopedia of Mathematics
Revision as of 14:53, 7 June 2020 by Ulf Rehmann (talk | contribs) (Undo revision 48744 by Ulf Rehmann (talk))
Jump to: navigation, search

Formulas first discovered by Yu.V. Sokhotskii [1], expressing the boundary values of a Cauchy-type integral. With more complete proofs but significantly later, the formulas were obtained independently by J. Plemelj .

Let : , , , be a closed smooth Jordan curve in the complex -plane, let be the complex density in a Cauchy-type integral along , on which satisfies a Hölder condition:

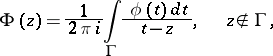
let be the interior of , its exterior, and let

(1)

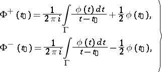
be a Cauchy-type integral. Then, for any point the limits

exist and are given by the Sokhotskii formulas

(2)

or, equivalently,

The integrals along on the right-hand sides of these formulas are understood in the sense of the Cauchy principal value and are so-called singular integrals. By taking, under these conditions, (or ) as values of the integral on , one thus obtains a function that is continuous in the closed domain (respectively, ). In the large, is sometimes described as a piecewise-analytic function.

If , then and are also Hölder continuous on with the same exponent , while if , with any exponent . For the corner points of a piecewise-smooth curve (see Fig.), the Sokhotskii formulas take the form

(3)

In the case of a non-closed piecewise-smooth curve , the Sokhotskii formulas (2) and (3) remain valid for the interior points of the arc .

Figure: s086020a

The Sokhotskii formulas play a basic role in solving boundary value problems of function theory and in the theory of singular integral equations (see [3], [5]), and also in solving various applied problems in function theory (see [4]).

The question naturally arises as to the possibility of extending the conditions on the contour and the density , in such a way that the Sokhotskii formulas (possibly with some restrictions) remain valid. The most significant results in this direction are due to V.V. Golubev and I.I. Privalov (see [6], [8]). For example, let be a rectifiable Jordan curve, and let the density be, as before, Hölder continuous on . Then the Sokhotskii formulas (2) hold almost everywhere on , where and are understood as non-tangential boundary values of the Cauchy-type integral from inside and outside , respectively, but and are, in general, not continuous in the closed domains and .

For spatial analogues of the Sokhotskii formulas see [7].

References

[1] Yu.V. Sokhotskii, "On definite integrals and functions used in series expansions" , St. Petersburg (1873) (In Russian) (Dissertation)
[2a] J. Plemelj, "Ein Ergänzungssatz zur Cauchyschen Integraldarstellung analytischer Funktionen, Randwerte betreffend" Monatsh. Math. Phys. , 19 (1908) pp. 205–210
[2b] J. Plemelj, "Riemannsche Funktionenscharen mit gegebener Monodromiegruppe" Monatsh. Math. Phys. , 19 (1908) pp. 211–245
[3] N.I. Muskhelishvili, "Singular integral equations" , Wolters-Noordhoff (1972) (Translated from Russian)
[4] N.I. Muskhelishvili, "Some basic problems of the mathematical theory of elasticity" , Noordhoff (1975) (Translated from Russian)
[5] F.D. Gakhov, "Boundary value problems" , Pergamon (1966) (Translated from Russian)
[6] I.I. [I.I. Privalov] Priwalow, "Randeigenschaften analytischer Funktionen" , Deutsch. Verlag Wissenschaft. (1956) (Translated from Russian)
[7] A.V. Bitsadze, "Fundamentals of the theory of analytic functions of a complex variable" , Moscow (1972) (In Russian)
[8] B.V. Khvedelidze, "The method of Cauchy-type integrals in the discontinuous boundary value problems of the theory of holomorphic functions of a complex variable" J. Soviet Math. , 7 (1977) pp. 309–415 Itogi Nauk. Sovremen. Probl. Mat. , 7 (1975) pp. 5–162


Comments

In the Western literature one usually speaks of the Plemelj formulas; the combination Sokhotskii–Plemelj formulas also occurs.

Much work has been done on Cauchy-type integrals in recent years. Thus, A.P. Calderón [a1] has proved the existence of non-tangential boundary values almost everywhere under weaker conditions, and he has studied the principal value integral, or Cauchy transform, in (2) as a bounded linear operator on appropriate spaces. For further information see [a2].

The idea of representing a function on a simple closed curve as the jump of an analytic function across that curve has been extensively generalized. Thus, every distribution on the unit circle and every tempered distribution on can be represented as such jumps in an appropriate sense, cf. [a3]. The ultimate in this direction are Sato's hyperfunctions (cf. [a5] and Hyperfunction).

References

[a1] A.P. Calderón, "Cauchy integrals on Lipschitz curves and related operators" Proc. Nat. Acad. Sci. USA , 74 : 4 (1977) pp. 1324–1327
[a2] V.P. Khavin (ed.) S.V. Khrushchev (ed.) N.K. Nikol'skii (ed.) , Linear and complex analysis problem book , Lect. notes in math. , 1043 , Springer (1984) pp. Chapt. 6 (Translated from Russian)
[a3] H.G. Tillmann, "Darstellung der Schwartzschen Distributionen durch analytischer Funktionen" Math. Z. , 77 (1961) pp. 106–124
[a4] M. Sato, "Theory of hyperfunctions I-II" J. Fac. Sci. Univ. Tokyo I , 8 (1959–1960) pp. 139–193; 387–437
[a5] L.V. Hörmander, "The analysis of linear partial differential operators" , 1 , Springer (1983)
How to Cite This Entry:
Sokhotskii formulas. Encyclopedia of Mathematics. URL: http://encyclopediaofmath.org/index.php?title=Sokhotskii_formulas&oldid=49432
This article was adapted from an original article by E.D. Solomentsev (originator), which appeared in Encyclopedia of Mathematics - ISBN 1402006098. See original article