Sign test
A non-parametric test for a hypothesis
, according to which a random variable
has a binomial distribution with parameters
. If the hypothesis
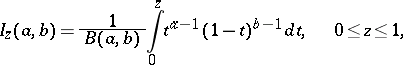
is true, then
![]() |
![]() |
where
![]() |
and
is the beta-function. According to the sign test with significance level
,
, the hypothesis
is rejected if
![]() |
where
, the critical value of the test, is the integer solution of the inequalities
![]() |
The sign test can be used to test a hypothesis
according to which the unknown continuous distribution of independent identically-distributed random variables
is symmetric about zero, i.e. for any real
,
![]() |
In this case the sign test is based on the statistic
![]() |
which is governed by a binomial law with parameters
if the hypothesis
is true.
Similarly, the sign test is used to test a hypothesis
according to which the median of an unknown continuous distribution to which independent random variables
are subject is
; to this end one simply replaces the given random variables by
.
References
| [1] | L.N. Bol'shev, N.V. Smirnov, "Tables of mathematical statistics" , Libr. math. tables , 46 , Nauka (1983) (In Russian) (Processed by L.S. Bark and E.S. Kedrova) |
| [2] | E.L. Lehmann, "Testing statistical hypotheses" , Wiley (1986) |
| [3] | B.L. van der Waerden, "Mathematische Statistik" , Springer (1957) |
| [4] | N.V. Smirnov, I.V. Dunin-Barkovskii, "Mathematische Statistik in der Technik" , Deutsch. Verlag Wissenschaft. (1969) (Translated from Russian) |
Sign test. Encyclopedia of Mathematics. URL: http://encyclopediaofmath.org/index.php?title=Sign_test&oldid=49423






