Riemannian connection
An affine connection on a Riemannian space
with respect to which the metric tensor
of the space is covariantly constant. If the affine connection on
is given by a matrix of local connection forms
![]() | (1) |
and the metric form on
is
, then the latter condition is expressed as
![]() | (2) |
It can be also expressed as follows: Under parallel displacement along any curve in
, the scalar product
of two arbitrary vectors preserves its value, i.e. for vector fields
on
the following equality holds:
![]() |
where
is the vector field, called the covariant derivative of the field
relative to the field
, defined by the formula
![]() |
If in
one goes over to a local field of orthonormal frames, then
(if one restricts to the case of a positive-definite
) and condition (2) takes the form
![]() |
i.e. the matrix
of forms (1) takes values in the Lie algebra of the group of motions of the Euclidean space
of dimension
. Thus, a Riemannian connection can be interpreted as a connection in the fibre space of orthonormal frames in the Euclidean spaces tangent to
. The holonomy group of a Riemannian connection is a subgroup of the group of motions of
; a Riemannian connection for some Riemannian metric on
is any affine connection whose holonomy group is the group of motions or some subgroup of it.
If in (1)
(i.e.
is considered with respect to the field of natural frames of a local coordinate system), then
![]() |
and
![]() |
where
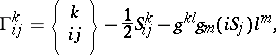
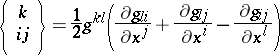
![]() |
is the so-called Christoffel symbol and
is the torsion tensor of the Riemannian connection. There exists one and only one Riemannian connection without torsion (i.e. such that
); it is determined by the forms
![]() |
and it is called the Levi-Civita connection.
References
| [1] | D. Gromoll, W. Klingenberg, W. Meyer, "Riemannsche Geometrie im Grossen" , Springer (1968) |
| [2] | A. Lichnerowicz, "Global theory of connections and holonomy groups" , Noordhoff (1976) (Translated from French) |
Comments
Instead of "Riemannian connection" one also uses metric connection.
References
| [a1] | W. Klingenberg, "Riemannian geometry" , de Gruyter (1982) (Translated from German) |
Riemannian connection. Encyclopedia of Mathematics. URL: http://encyclopediaofmath.org/index.php?title=Riemannian_connection&oldid=49405








