Conjugate function
A concept in the theory of functions which is a concrete image of some involutory operator for the corresponding class of functions.
1) The function conjugate to a complex-valued function
is the function
whose values are the complex conjugates of those of
.
2) For the function conjugate to a harmonic function see Conjugate harmonic functions.
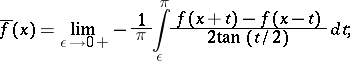
3) The function conjugate to a
-periodic summable function
on
is given by
![]() |
it exists almost-everywhere and coincides almost-everywhere with the
-sum,
, and the Abel–Poisson sum of the conjugate trigonometric series.
4) The function conjugate to a function
defined on a vector space
dual to a vector space
(with respect to a bilinear form
) is the function on
given by
![]() | (*) |
The conjugate of a function defined on
is defined in a similar way.
The function conjugate to the function
,
, of one variable is given by
![]() |
The function conjugate to the function
on a Hilbert space
with scalar product
is the function
. The function conjugate to the norm
on a normed space is the function
which is equal to zero when
and to
when
.
If
is smooth and increases at infinity faster than any linear function, then
is just the Legendre transform of
. For one-dimensional strictly-convex functions, a definition equivalent to (*) was given by W.H. Young [1] in other terms. He defined the conjugate of a function
![]() |
where
is continuous and strictly increasing, by the relation
![]() |
where
is the function inverse to
. Definition (*) was originally proposed by S. Mandelbrojt for one-dimensional functions, by W. Fenchel [2] in the finite-dimensional case, and by J. Moreau [3] and A. Brøndsted [4] in the infinite-dimensional case. For a convex function and its conjugate, Young's inequality holds:
![]() |
The conjugate function is a closed convex function. The conjugation operator
establishes a one-to-one correspondence between the family of proper closed convex functions on
and that of proper closed convex functions on
(the Fenchel–Moreau theorem).
For more details see [5] and [6].
See also Convex analysis; Support function; Duality in extremal problems, Convex analysis; Dual functions.
References
| [1] | W.H. Young, "On classes of summable functions and their Fourier series" Proc. Roy. Soc. Ser. A. , 87 (1912) pp. 225–229 Zbl 43.1114.12 Zbl 43.0334.09 |
| [2] | W. Fenchel, "On conjugate convex functions" Canad. J. Math. , 1 (1949) pp. 73–77 MR0028365 Zbl 0038.20902 |
| [3] | J.J. Moreau, "Fonctions convexes en dualité" , Univ. Montpellier (1962) |
| [4] | A. Brøndsted, "Conjugate convex functions in topological vector spaces" Math. Fys. Medd. Danske vid. Selsk. , 34 : 2 (1964) pp. 1–26 Zbl 0119.10004 |
| [5] | R.T. Rockafellar, "Convex analysis" , Princeton Univ. Press (1970) MR0274683 Zbl 0193.18401 |
| [6] | V.M. Alekseev, V.M. Tikhomirov, S.V. Fomin, "Commande optimale" , MIR (1982) (Translated from Russian) MR728225 |
Comments
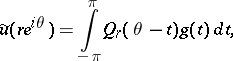
The concepts of conjugate harmonic functions and conjugate trigonometric series are not unrelated. Let
be a harmonic function on the closed unit disc and
its harmonic conjugate, so that
,
, where
is the analytic function
. Let
be the boundary value function of
, i.e.
. Then one has the Poisson integral representation
![]() |
where
![]() |
and
![]() |
with
![]() |
Then letting
, (formally)
![]() |
is precisely the conjugate trigonometric series of
.
References
| [a1] | A. Zygmund, "Trigonometric series" , 1–2 , Cambridge Univ. Press (1959) MR0107776 Zbl 0085.05601 |
Conjugate function. Encyclopedia of Mathematics. URL: http://encyclopediaofmath.org/index.php?title=Conjugate_function&oldid=28162










