Coerciveness inequality
An inequality providing a lower bound for a certain bilinear form, or providing an upper bound for the norm of a solution of a certain elliptic boundary value problem, in terms of the coefficients of the elliptic equation and of the boundary data. Let
$$ L = \sum_{\left| \alpha \right| \leqslant 2 m} a_{\alpha} \left( x \right) \partial^{\alpha}, $$ $$ \left( - 1 \right)^m Re \sum_{\left| \alpha \right| = 2 m} a_{\alpha} \left( x \right) \xi^{\alpha} \geqslant c \left| \xi \right|^{2 m}, $$
be a uniformly elliptic operator in a region
in
, with coefficients
; let
be a subregion of
, and suppose that in some neighbourhood of the boundary
of
one has differential operators
,
, of orders
, the characteristics of which are not tangent to
at any point of
. Then, in some neighbourhood of
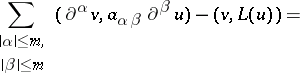
, there exist differential operators
of orders
,
, such that
![]() | (1) |
![]() |
for all
in
. Here
denotes the scalar product in
.
The form
![]() |
is called a coercive form on a space
,
, if there exist constants
and
such that
![]() | (2) |
for all
. Here
is the Sobolev space and
is the subspace of
consisting of all elements with compact support, i.e. elements vanishing in a neighbourhood of the boundary of
. Inequality (2) is a coerciveness inequality for the form
. If (2) remains valid with
, then
is said to be strongly coercive.
If a solution
of the equation
satisfies the conditions
,
, on
, then one has an inequality
![]() | (3) |
for some constants
. If a solution
of the equation
satisfies conditions
on
,
, then instead of (3) one has the inequality
![]() | (4) |
This inequality provides an estimate for the norm of the solution
of the equation
in the Sobolev space
in terms of its norm in
and of the norms of
and
,
in the appropriate spaces. Inequality (4) is a coerciveness inequality for the boundary value problem for an elliptic equation.
Using inequality (4) one obtains the more general inequality
![]() |
Coerciveness inequalities play an important role in the investigation of coercive boundary value problems and in proofs of the smoothness of solutions of elliptic equations; they are particularly important in analyticity proofs for solutions of analytic elliptic equations [2].
References
| [1] | S. Agmon, "Lectures on elliptic boundary value problems" , v. Nostrand (1965) |
| [2] | C.B. Morrey, L. Nirenberg, "On the analyticity of the solutions of linear elliptic systems of partial differential equations" Comm. Pure Appl. Math. , 10 : 2 (1957) pp. 271–290 |
Comments
Inequalities such as (3), (4), providing upper bounds for elliptic boundary value problems, are better known as boundary estimates for elliptic boundary value problems, instead of coerciveness inequalities. Lower bounds for bilinear forms are frequently encountered in the theory of variational inequalities (see also Variational equations). See also Coercive boundary value problem.
The functions
in (1) are obtained from the functions
by integrating the expression
by parts. Clearly, the restriction
in (2) is inessential.
Coerciveness inequality. Encyclopedia of Mathematics. URL: http://encyclopediaofmath.org/index.php?title=Coerciveness_inequality&oldid=27035






