Papperitz equation
An ordinary second-order Fuchsian linear differential equation having precisely three singular points:
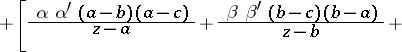
![]() | (1) |
![]() |
![]() |
![]() |
here
are pairwise distinct complex numbers,
(
and
) are the characteristic exponents at the singular point
(respectively,
and
). A Papperitz equation is uniquely determined by the assignment of the singular points and the characteristic exponents. In solving a Papperitz equation (1), use is made of Riemann's notation:
![]() |
B. Riemann investigated [1] the problem of finding all many-valued functions
, analytic in the extended complex plane, which have the following properties:
a) the function
has precisely three singular points
;
b) any three of its branches are connected by a linear equation
![]() |
with constant coefficients;
c) the function
has the simplest singularities at the points
; namely, in a neighbourhood of the point
there are two branches
and
satisfying
![]() |
where
is holomorphic at
; and analogously for
and
.
Riemann, under certain additional assumptions on the numbers
, showed that all such functions can be expressed in terms of hypergeometric functions and that
satisfies a linear second-order differential equation with rational coefficients, but did not write this equation out explicitly (see [1]). The equation in question, (1), was given by E. Papperitz [2]. It is also called the Riemann
-equation, the Riemann equation in Papperitz's form and the Riemann equation, and its solutions are called
-functions.
The basic properties of the solutions of a Papperitz equation are as follows.
1) A Papperitz equation is invariant under rational-linear transformations: If
maps the points
to points
, then
![]() |
2) The transformation
![]() |
transforms a Papperitz equation into a Papperitz equation with the same singular points, but with different characteristic exponents:
![]() |
![]() |
3) The hypergeometric equation
![]() |
is a special case of a Papperitz equation and it corresponds in Riemann's notation to
![]() |
4) Each solution of a Papperitz equation can be expressed in terms of the hypergeometric function,
![]() | (2) |
![]() |
under the assumption that
is not a negative integer. If none of the differences
,
,
are integers, then interchanging in (2) the positions of
and
or of
and
, four solutions of a Papperitz equation are obtained. In addition a Papperitz equation remains unchanged if the positions of the triples
,
,
are rearranged; all these rearrangements provide 24 special solutions of a Papperitz equation (1), which were first obtained by E.E. Kummer [5].
References
| [1] | B. Riemann, "Beiträge zur Theorie der durch Gauss'sche Reihe darstellbare Functionen" , Gesammelte math. Werke , Dover, reprint (1953) pp. 67–85 |
| [2] | E. Papperitz, "Ueber verwandte -Functionen" Math. Ann. , 25 (1885) pp. 212–221 MR1510304 |
| [3] | E.T. Whittaker, G.N. Watson, "A course of modern analysis" , Cambridge Univ. Press (1952) pp. Chapt. 6 MR1424469 MR0595076 MR0178117 MR1519757 Zbl 0951.30002 Zbl 0108.26903 Zbl 0105.26901 Zbl 53.0180.04 Zbl 47.0190.17 Zbl 45.0433.02 Zbl 33.0390.01 |
| [4] | V.V. Golubev, "Vorlesungen über Differentialgleichungen im Komplexen" , Deutsch. Verlag Wissenschaft. (1958) (Translated from Russian) MR0100119 |
| [5] | E.E. Kummer, "Ueber die hypergeometrische Reihe " J. Reine Angew. Math. , 15 (1836) pp. 39–83; 127–172 |
Papperitz equation. Encyclopedia of Mathematics. URL: http://encyclopediaofmath.org/index.php?title=Papperitz_equation&oldid=24524















darstellbare Functionen" , Gesammelte math. Werke , Dover, reprint (1953) pp. 67–85
-Functionen" Math. Ann. , 25 (1885) pp. 212–221
" J. Reine Angew. Math. , 15 (1836) pp. 39–83; 127–172