Fejér singular integral
From Encyclopedia of Mathematics
Revision as of 07:54, 26 March 2012 by Ulf Rehmann (talk | contribs) (moved Fejer singular integral to Fejér singular integral over redirect: accented title)
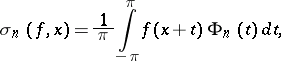
An integral of the form
![]() |
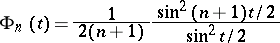
where
![]() |
is the Fejér kernel. The Fejér singular integral is an integral representation of the Fejér sums (cf. Fejér sum)
.
For references see Fejér sum.
How to Cite This Entry:
Fejér singular integral. Encyclopedia of Mathematics. URL: http://encyclopediaofmath.org/index.php?title=Fej%C3%A9r_singular_integral&oldid=23268
Fejér singular integral. Encyclopedia of Mathematics. URL: http://encyclopediaofmath.org/index.php?title=Fej%C3%A9r_singular_integral&oldid=23268
This article was adapted from an original article by S.A. Telyakovskii (originator), which appeared in Encyclopedia of Mathematics - ISBN 1402006098. See original article

