Peterson-Codazzi equations
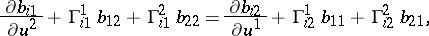
Equations constituting together with Gauss' equation (see Gauss theorem) necessary and sufficient conditions for integrability of the system of partial differential equations to which the problem of recovering a surface from its first and second fundamental forms reduces (see Bonnet theorem). The Peterson–Codazzi equations take the form
![]() |
where the
are the coefficients in the second fundamental form and the
are the Christoffel symbols of the second kind.
The equations were first discovered by K.M. Peterson in 1853 and were rediscovered by G. Mainardi in 1856 and D. Codazzi in 1867.
References
| [1] | P.K. Rashevskii, "A course of differential geometry" , Moscow (1956) (In Russian) |
Comments
In Western literature these equations are usually called the Mainardi–Codazzi equations, or Gauss–Mainardi–Codazzi equations.
Generally, for hypersurfaces in Euclidean
-space the Gauss equations and the Mainardi–Codazzi equations are obtained by decomposing the (vanishing) curvature tensor of the ambient space into tangential and normal parts and expressing these parts in surface terms. The Mainardi–Codazzi equations have the following form in this terminology:
![]() |
where
is the Weingarten mapping (shape operator) of the hypersurface,
the induced covariant derivation and
are smooth tangent vector fields.
References
| [a1] | W. Blaschke, K. Leichtweiss, "Elementare Differentialgeometrie" , Springer (1973) |
| [a2] | N.J. Hicks, "Notes on differential geometry" , v. Nostrand (1965) |
| [a3] | H.W. Guggenheimer, "Differential geometry" , Dover, reprint (1977) |
Peterson-Codazzi equations. Encyclopedia of Mathematics. URL: http://encyclopediaofmath.org/index.php?title=Peterson-Codazzi_equations&oldid=22897

