Mehler–Fok transform
The integral transform
 | (1) |
where
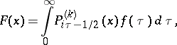
is the Legendre function of the first kind (cf. Legendre functions). If
, the function
is locally integrable on
and
, then the following inversion formula is valid:
 | (2) |
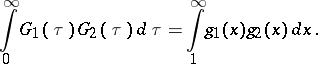
The Parseval identity. Consider the Mehler–Fock transform and its inverse defined by the equalities
If
,
, are arbitrary real-valued functions satisfying the conditions
then
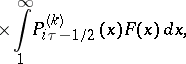
The generalized Mehler–Fock transform and the corresponding inversion formula are:
 | (3) |
and
 | (4) |
where
are the associated Legendre functions of the first kind. For
formulas (3) and (4) reduce to (1) and (2); for
,
, formulas (3) and (4) lead to the Fourier cosine transform, and for
,
to the Fourier sine transform. The transforms (1) and (2) were introduced by F.G. Mehler [1]. The basic theorems were proved by V.A. Fock [V.A. Fok].
References
| [1] | F.G. Mehler, "Ueber eine mit den Kugel- und Cylinderfunctionen verwandte Function und ihre Anwendung in der Theorie der Electricitätsvertheilung" Math. Ann. , 18 (1881) pp. 161–194 |
| [2] | V.A. Fok, "On the representation of an arbitrary function by an integral involving Legendre functions with complex index" Dokl. Akad. Nauk SSSR , 39 (1943) pp. 253–256 (In Russian) |
| [3] | V.A. Ditkin, A.P. Prudnikov, "Operational calculus" Progress in Math. , 1 (1968) pp. 1–75 Itogi Nauk. Mat. Anal. 1966 (1967) pp. 7–82 |
References
| [a1] | I.N. Sneddon, "The use of integral transforms" , McGraw-Hill (1972) |
How to Cite This Entry:
Mehler-Fock transform. Encyclopedia of Mathematics. URL: http://encyclopediaofmath.org/index.php?title=Mehler-Fock_transform&oldid=22805
This article was adapted from an original article by Yu.A. BrychkovA.P. Prudnikov (originator), which appeared in Encyclopedia of Mathematics - ISBN 1402006098.
See original article