Goryachev-Chaplygin top
A rigid body rotating about a fixed point, for which:
a) the principal moments of inertia
, with regard to the fixed point, satisfy the relation
;
b) the centre of mass belongs to the equatorial plane through the fixed point;
c) the principal angular momentum is perpendicular to the direction of gravity, i.e.,
. First introduced by D. Goryachev [a4] in 1900, the system was later integrated by S.A. Chaplygin [a3] in terms of hyper-elliptic integrals (cf. also Hyper-elliptic integral). The system merely satisfying a) and b) is not algebraically integrable, but on the locus, defined by c), it is; namely, it has an extra invariant of homogeneous degree
:
![]() |
C. Bechlivanidis and P. van Moerbeke [a1] have shown that the problem has asymptotic solutions which are meromorphic in
; the system linearizes on a double cover of a hyper-elliptic Jacobian (i.e., of the Jacobi variety of a hyper-elliptic curve; cf. also Plane real algebraic curve), ramified exactly along the two hyper-elliptic curves, where the phase variables blow up; see also [a5]. An elementary algebraic mapping transforms the Goryachev–Chaplygin equations into equations closely related to the
-body Toda lattice. A Lax pair is given in [a2]:
![]() |
![]() |
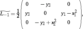
where
and
are given by the
right-lower corner of
and
and where
![]() |
![]() |
See also Kowalewski top.
References
| [a1] | C. Bechlivanidis, P. van Moerbeke, "The Goryachev–Chaplygin top and the Toda lattice" Comm. Math. Phys. , 110 (1987) pp. 317–324 |
| [a2] | A.I. Bobenko, V.B. Kuznetsov, "Lax representation and new formulae for the Goryachev–Chaplygin top" J. Phys. A , 21 (1988) pp. 1999–2006 |
| [a3] | S.A. Chaplygin, "A new case of rotation of a rigid body, supported at one point" , Collected works , I , Gostekhizdat (1948) pp. 118–124 (In Russian) |
| [a4] | D. Goryachev, "On the motion of a rigid material body about a fixed point in the case " Mat. Sb. , 21 (1900) (In Russian) |
| [a5] | L. Piovan, "Cyclic coverings of Abelian varieties and the Goryachev–Chaplygin top" Math. Ann. , 294 (1992) pp. 755–764 |
Goryachev-Chaplygin top. Encyclopedia of Mathematics. URL: http://encyclopediaofmath.org/index.php?title=Goryachev-Chaplygin_top&oldid=22523





" Mat. Sb. , 21 (1900) (In Russian)