A method for solving boundary value problems of partial differential equations based on the use of the Green formula and leading to a system of (Fischer–Riesz) integral equations for some suitably chosen unknown vector. The method may be used to find numerical values of solutions, but may also be employed in proving existence theorems.
Let
and
be adjoint linear elliptic operators of the second order in
with real coefficients
where
is the bounded domain bounded by a closed surface
. Let the solution
of the Dirichlet problem
be sought in the class of functions permitting an integral representation according to Green's formulas. Furthermore, let
be an arbitrary function in the same class. Application of the Green formula to
and
yields
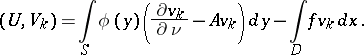
 | (1) |
where
is a normal on
and
is the interior conormal. Let
be a vector with two components, composed of real-valued square-integrable functions, the first component being defined in
, while the second is defined on
. Let
be the set of these vectors; a norm is introduced by way of the scalar product of
and
in
:
Let
be a set which has been so chosen that the totality of vectors with two components
is dense in the Hilbert space
. Then, if one denotes by
the vector with first component
equal to
, and second component
coinciding with
, one may write (1) as a Fischer–Riesz system of integral equations:
 | (2) |
If the set
is orthonormal and if the conditions of the Riesz–Fischer theorem are satisfied, (2) defines, in
, the Fourier coefficients
of the vector
with respect to the maximal system of basis vectors
. If it is known that the problem under consideration has a solution
and that this solution is unique, the Fourier series
converges in the mean to
and only to
. Otherwise the selection of functions
must be further studied. E.g., if eigen solutions
are permitted (that is, the solution is no longer unique), the set
must satisfy:
where
.
If a sequence of monomials
with integral non-negative exponents
is taken as
, then the values of
and
found by (2), together with the value of
given on
, satisfy the Green functional relations
where
is a non-zero constant which depends on
, and
is a fundamental solution of the equation
. In such a case all solutions of the Fischer–Riesz system of equations, and only such solutions, are solutions of the boundary value problem under study. The essence of this method is a suitable construction of the selected set of functions
satisfying the condition
or certain completeness conditions [4].
In this method, an explicit expression for the fundamental solution need not be specified, but if it is known, the calculations may be considerably simplified in view of the fact that the set
, where
is a countably infinite sequence of arbitrary points not forming part of
, is linearly independent and is complete in
[4]; this theorem also makes it possible to extend the method of Fischer–Riesz equations to problems with oblique derivatives (cf. Differential equation, partial, oblique derivatives) and other types of equations.
References
[1] | M. Picone, "Nuovi metodi resolutivi per i problemi d'integrazzione delle equazioni lineari a derivative parziali e nuova applicazione della trasformata multipla di Laplace nel caso delle equazioni a coefficienti constanti" Atti Accad. Sci. Torino. Cl. Sci. Fis. Mat. Natur. , 75 (1940) pp. 413–426 |
[2] | L. Amerio, "Sul calcolo delle soluzioni dei problemi al contorno per le equazioni lineari de secondo ordine di tipo ellittico" Amer. J. Math. , 69 : 3 (1947) pp. 447–489 |
[3] | G. Fichera, "Sull' esistenza e sul calcolo delle soluzioni dei problemi al contorno, relativi all'equilibrio di un corpo elastico" Ann. Scuola Norm. Super. Pisa. Sci. Fis. Mat. , 4 : 1–2 (1950) pp. 35–99 |
[4] | V.D. Kupradze, "On the approximate solution of problems in mathematical physics" Russian Math. Surveys , 22 : 2 (1967) pp. 58–108 Uspekhi Mat. Nauk , 22 : 2 (1967) pp. 59–107 |
[5] | C. Miranda, "Partial differential equations of elliptic type" , Springer (1970) (Translated from Italian) |
How to Cite This Entry:
Differential equation, partial, Fischer-Riesz (Picone) method. Encyclopedia of Mathematics. URL: http://encyclopediaofmath.org/index.php?title=Differential_equation,_partial,_Fischer-Riesz_(Picone)_method&oldid=22353
This article was adapted from an original article by V.D. Kupradze (originator), which appeared in Encyclopedia of Mathematics - ISBN 1402006098.
See original article