Campbell-Hausdorff formula
A formula for computing
![]() |
in the algebra of formal power series in
, where the latter are assumed to be associative but non-commutative. More precisely, let
be a free associative algebra with unit over the field
, with free generators
and
; let
be the Lie subalgebra of
generated by these elements relative to the commutation operation
; and let
and
be the natural power series completions of
and
, i.e.
is the ring of power series in the associative but non-commutative variables
and
is the closure of
in
. Then the mapping
![]() |
is a continuous bijection of
onto the multiplicative group
, where
is the set of series without constant term. The inverse of this mapping is
![]() |
The restriction of
to
is a bijection of
onto the group
. One can thus introduce a group operation
in the set of elements of the Lie algebra
, and it can be shown that the subgroup of this group generated by
and
is free. The Campbell–Hausdorff formula provides an expression for
as a power series in
and
:
![]() | (*) |
![]() |
(
times
, then
times 

times
, then
times
, in the general term of this series) or (in terms of the adjoint representation
):
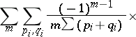
![]() |
where
![]() |
![]() |
![]() |
Here
denotes summation over
,
,
; and
denotes summation over
,
,
.
The first investigation of the expression
is due to J.E. Campbell . F. Hausdorff [2] proved that
can be expressed in terms of the commutators of
and
, i.e. it is an element of the Lie algebra
.
If
is a normed Lie algebra over a complete non-discretely normed field
, the series (*), with
, is convergent in a neighbourhood of zero. Near the zero of
one can thus define the structure of a local Banach Lie group over
(in the ultrametric case — the structure of a Banach Lie group), with Lie algebra
. This yields one of the existence proofs for a local Lie group with a given Lie algebra (Lie's third theorem). Conversely, in any local Lie group multiplication can be expressed in canonical coordinates by the Campbell–Hausdorff formula.
References
| [1a] | J.E. Campbell, Proc. London Math. Soc. , 28 (1897) pp. 381–390 |
| [1b] | J.E. Campbell, Proc. London Math. Soc. , 29 (1898) pp. 14–32 |
| [2] | F. Hausdorff, "Die symbolische Exponential Formel in der Gruppentheorie" Leipziger Ber. , 58 (1906) pp. 19–48 |
| [3] | N. Bourbaki, "Elements of mathematics. Lie groups and Lie algebras" , Addison-Wesley (1975) (Translated from French) |
| [4] | J.-P. Serre, "Lie algebras and Lie groups" , Benjamin (1965) (Translated from French) |
| [5] | , Theórie des algèbres de Lie. Topologie des groupes de Lie , Sem. S. Lie , Ie année 1954–1955 , Ecole Norm. Sup. (1955) |
| [6] | W. Magnus, A. Karrass, B. Solitar, "Combinatorial group theory: presentations in terms of generators and relations" , Wiley (Interscience) (1966) |
Comments
Let
be the component of
consisting of non-commutative polynomials of degree
. Then
. Similarly
.
The formula for
is also known as the Baker–Campbell–Hausdorff formula or Campbell–Baker–Hausdorff formula. The first few terms are:
![]() |
The formula in terms of the
and
is known as the explicit Campbell–Hausdorff formula (in Dynkin's form).
References
| [a1] | H.F. Baker, "Alternants and continuous groups" Proc. London Math. Soc. (2) , 3 (1905) pp. 24–47 |
| [a2] | V.S. Varadarajan, "Lie groups, Lie algebras, and their representations" , Springer (1984) pp. Section 2.15 |
Campbell-Hausdorff formula. Encyclopedia of Mathematics. URL: http://encyclopediaofmath.org/index.php?title=Campbell-Hausdorff_formula&oldid=22235









