Comitant
concomitant of a group
acting on sets
and
A mapping
such that
![]() |
for any
,
. In this case one also says that
commutes with the action of
, or that
is an equivariant mapping. If
acts on every set of a family
, then a comitant
is called a simultaneous comitant of
.
The notion of a comitant originates from the classical theory of invariants (cf. Invariants, theory of) in which, however, a comitant is understood in a narrower sense:
is the general linear group of some finite-dimensional vector space
,
and
are tensor spaces on
of specified (generally distinct) types, on which
acts in the natural way, while
is an equivariant polynomial mapping from
into
. If, in addition,
is a space of covariant tensors, then the comitant is called a covariant of
, while if
is a space of contravariant tensors, the comitant is called a contravariant of
.
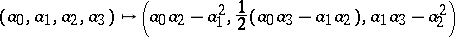
Example. Let
be a binary cubic form in the variables
and
:
![]() |
Its coefficients are the coordinates of a covariant symmetric tensor. The coefficients of the Hessian form of
, that is, of the form
![]() |
![]() |
are also the coefficients of a covariant symmetric tensor, while the mapping
![]() |
of the corresponding tensor spaces is a comitant (the so-called comitant of the form
). The Hessian of an arbitrary form can similarly be defined; this also provides an example of a comitant (see Covariant).
In the modern geometric theory of invariants, by a comitant one often means any equivariant morphism
, where
and
are algebraic varieties endowed with a regular action of an algebraic group
. If
and
are affine, then giving a comitant is equivalent to giving a homomorphism
of
-modules of regular functions on the varieties
and
, respectively (where
is the ground field).
References
| [1] | G.B. Gurevich, "Foundations of the theory of algebraic invariants" , Noordhoff (1964) (Translated from Russian) MR0183733 Zbl 0128.24601 |
| [2] | D. Mumford, "Geometric invariant theory" , Springer (1965) MR0214602 Zbl 0147.39304 |
| [3] | J.A. Dieudonné, "La géométrie des groups classiques" , Springer (1955) Zbl 0221.20056 |
Comitant. Encyclopedia of Mathematics. URL: http://encyclopediaofmath.org/index.php?title=Comitant&oldid=21827




