The polynomials
(cf. [a1] and [a5]) given by
 | (a1) |
They reduce to the Lucas numbers
for
, and they satisfy several identities, which may be easily proved by induction, e.g.:
 | (a2) |
 | (a3) |
 | (a4) |
 | (a5) |
| \(U_{2n}(x)=U_n(x)V_n(x),\,\) | (a6) |
where
denote the Fibonacci polynomials;
 | (a7) |
where
so that
; and
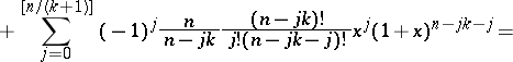
 | (a8) |
where
denotes the greatest integer in
.
The Lucas polynomials are related to the Chebyshev polynomials
,
, by
 | (a9) |
J. Riordan [a9] considered the polynomials
and the Lucas-type polynomials
 | (a10) |
in a derivation of Chebyshev-type pairs of inverse relations. V.E. Hoggatt Jr. and M. Bicknell [a4] found the roots of
. These are
,
. Bicknell [a2] showed that
divides
if and only if
is an odd multiple of
. G.E. Bergum and Hoggatt Jr. introduced in [a1] the bivariate Lucas polynomials
by the recursion
 | (a11) |
generalized (a7) for
, and showed that the
are irreducible polynomials over the rational numbers if and only if
for some positive integer (cf. also Irreducible polynomial). The formula
 | (a12) |
which may be derived by induction on
or by expanding the generating function of
, generalizes (a8).
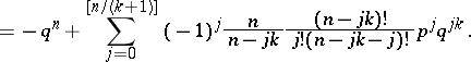
Ch.A. Charalambides [a3] introduced and studied the Lucas and Lucas-type polynomials of order
,
and
. The Lucas-type polynomials of order
satisfy the recurrence
 | (a13) |
These polynomials have the binomial and multinomial expansions
 | (a14) |
where the second summation is taken over all non-negative integers
such that
, and they are related to the Fibonacci-type polynomials of order
(cf. [a6] and [a8] and Fibonacci polynomials),
, by
 | (a15) |
Furthermore,
 | (a16) |
where the
are the Fibonacci polynomials of order
(cf. [a7]). Charalambides [a3] showed that the reliability of a circular consecutive
-out-of-
:
-system,
, whose components function independently with probability
is given by
 | (a17) |
References
| [a1] | G.E. Bergum, V.E. Hoggatt, Jr., "Irreducibility of Lucas and generalized Lucas polynomials" Fibonacci Quart. , 12 (1974) pp. 95–100 |
| [a2] | M. Bicknell, "A primer for the Fibonacci numbers VII" Fibonacci Quart. , 8 (1970) pp. 407–420 |
| [a3] | Ch.A. Charalambides, "Lucas numbers and polynomials of order and the length of the longest circular success run" Fibonacci Quart. , 29 (1991) pp. 290–297 |
| [a4] | V.E. Hoggatt Jr., M. Bicknell, "Roots of Fibonacci polynomials" Fibonacci Quart. , 11 (1973) pp. 271–274 |
| [a5] | E. Lucas, "Theorie de fonctions numeriques simplement periodiques" Amer. J. Math. , 1 (1878) pp. 184–240; 289–321 |
| [a6] | A.N. Philippou, "Distributions and Fibonacci polynomials of order , longest runs, and reliability of consecutive- -out-of- : systems" A.N. Philippou (ed.) G.E. Bergum (ed.) A.F. Horadam (ed.) , Fibonacci Numbers and Their Applications , Reidel (1986) pp. 203–227 |
| [a7] | A.N. Philippou, C. Georghiou, G.N. Philippou, "Fibonacci polynomials of order , multinomial expansions and probability" Internat. J. Math. Math. Sci. , 6 (1983) pp. 545–550 |
| [a8] | A.N. Philippou, C. Georghiou, G.N. Philippou, "Fibonacci-type polynomials of order with probability applications" Fibonacci Quart. , 23 (1985) pp. 100–105 |
| [a9] | J. Riordan, "Combinatorial Identities" , Wiley (1968) |
How to Cite This Entry:
Lucas polynomials. Encyclopedia of Mathematics. URL: http://encyclopediaofmath.org/index.php?title=Lucas_polynomials&oldid=19744
This article was adapted from an original article by Andreas N. Philippou (originator), which appeared in Encyclopedia of Mathematics - ISBN 1402006098.
See original article