Namespaces
Variants
Actions

Universal problems

From Encyclopedia of Mathematics
Revision as of 17:29, 7 February 2011 by 127.0.0.1 (talk) (Importing text file)
(diff) ← Older revision | Latest revision (diff) | Newer revision → (diff)
Jump to: navigation, search

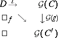
A concept in category theory. Let be a functor between categories and , and let . The universal problem defined by this setup requires one to find a "best approximation" of in , i.e. a universal solution consisting of an object and a morphism in such that for every object and every morphism there is a unique morphism such that

commutes.

A universal solution exists if and only if the functor is representable (by , cf. Representable functor). There is a universal solution for each choice of if and only if the functor has a left adjoint functor . A universal solution of a universal problem is unique up to an isomorphism.

Examples.

1) For the underlying (or forgetful) functor from a category of equationally defined algebras (such as associative algebras, commutative associative algebras, Lie algebras, vector spaces, groups) to the category of sets and for a set , the universal solution is the free algebra over .

2) For the functor which associates a Lie algebra with every associative unitary algebra by and for a Lie algebra , the universal solution is , the universal enveloping algebra of .

3) For the imbedding and a group , the universal solution is the commutator factor group of (cf. Commutator subgroup).

4) In general, for every underlying (forgetful) functor between categories of equationally defined algebras the corresponding universal problems have universal solutions, i.e. there are relatively free objects for any such functor .

5) For the diagonal functor and , the universal problem can be stated in this way: Find an object in and a pair of morphisms in such that for any object and any pair there exists a unique morphism such that

commutes. The universal solution is the coproduct of and .

6) By considering the dual situation, i.e. by using the categories dual to and , one obtains the dual notions. For the diagonal functor and , the universal solution of the dual universal problem is the (categorical) product of and .

7) In general, limits and colimits can be obtained as universal solutions of appropriate universal problems.

References

[a1] S. MacLane, "Categories for the working mathematician" , Springer (1971) pp. Chapt. IV, Sect. 6; Chapt. VII, Sect. 7
[a2] B. Pareigis, "Categories and functors" , Acad. Press (1970)
How to Cite This Entry:
Universal problems. Encyclopedia of Mathematics. URL: http://encyclopediaofmath.org/index.php?title=Universal_problems&oldid=19255
This article was adapted from an original article by B. Pareigis (originator), which appeared in Encyclopedia of Mathematics - ISBN 1402006098. See original article