Stochastic process, differentiable
A stochastic process
such that the limit
![]() |
exists; it is called the derivative of the stochastic process
. One distinguishes between differentiation with probability
and mean-square differentiation, according to how this limit is interpreted. The condition of mean-square differentiability can be naturally expressed in terms of the correlation function
![]() |
Namely,
exists if and only if the limit
![]() |
![]() |
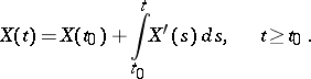
exists. A stochastic process having a mean-square derivative is absolutely continuous. More precisely, for every
and with probability 1,
![]() |
A sufficient condition for the existence of a process equivalent to a given one with continuously differentiable trajectories is that its mean square-derivative
is continuous and has
as its correlation function. For Gaussian processes this condition is also necessary.
References
| [1] | I.I. Gikhman, A.V. Skorokhod, "Introduction to the theory of stochastic processes" , Saunders (1967) (Translated from Russian) |
Comments
For additional references see Stochastic process.
Stochastic process, differentiable. Encyclopedia of Mathematics. URL: http://encyclopediaofmath.org/index.php?title=Stochastic_process,_differentiable&oldid=18818




