Linearly-regular random process
A stationary stochastic process (in the wide sense)
,
, for which the regularity condition
![]() |
is satisfied, where
is the mean square closed linear hull of the values
,
. (Here it is assumed that
.) Regularity implies the impossibility of a (linear) prediction of the process
in the very distant future; more precisely, if
is the best linear prediction for
with respect to the values
,
,
![]() |
then
![]() |
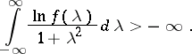
A necessary and sufficient condition for regularity of a (one-dimensional) stationary process is the existence of a spectral density
such that
![]() |
The analytic conditions for regularity of multi-dimensional and infinite-dimensional stationary processes are more complicated. In the general case, when the spectral density
is a positive operator function in Hilbert space, the regularity condition is equivalent to the fact that
admits a factorization of the form
![]() |
where
,
, is the boundary value of an operator function
,
, that is analytic in the lower half-plane
,
.
Every process
that is stationary in the wide sense admits a decomposition into an orthogonal sum
![]() |
![]() |
where
is a linearly-regular process and
is a linearly-singular process, that is, a stochastic process that is stationary in the wide sense and for which
![]() |
also,
![]() |
for all
.
References
| [1] | Yu.A. Rozanov, "Stationary random processes" , Holden-Day (1967) (Translated from Russian) |
| [2] | Yu.A. Rozanov, "Innovation processes" , Wiley (1977) (Translated from Russian) |
Comments
One says more often purely non-deterministic process (in the wide sense) instead of linearly-regular process. The decomposition of a (second-order) process in a regular and a singular part (as in the main article) is known as the Wold decomposition.
References
| [a1] | I.A. Ibragimov, Yu.V. Linnik, "Independent and stationary sequences of random variables" , Wolters-Noordhoff (1971) (Translated from Russian) |
| [a2] | J.L. Doob, "Stochastic processes" , Chapman & Hall (1953) |
| [a3] | I.A. Ibragimov, Yu.A. Rozanov, "Gaussian random processes" , Springer (1978) (Translated from Russian) |
Linearly-regular random process. Encyclopedia of Mathematics. URL: http://encyclopediaofmath.org/index.php?title=Linearly-regular_random_process&oldid=18417








