Namespaces
Variants
Actions

Hodograph transform

From Encyclopedia of Mathematics
Revision as of 17:22, 7 February 2011 by 127.0.0.1 (talk) (Importing text file)
(diff) ← Older revision | Latest revision (diff) | Newer revision → (diff)
Jump to: navigation, search

A mapping realizing a transformation of certain differential equations of mathematical physics to their linear form.

The Bernoulli integral and the continuity equation of a plane-parallel potential stationary motion of a barotropic gas ,

where

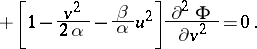
lead to the equation

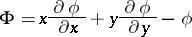
which is used for determining the velocity potential

where and are the velocity components. By introducing new independent variables and equal to the slope of the angle made by the velocity vector with the -axis, equation

is reduced to linear form:

This is the first hodograph transformation, or the Chaplygin transformation. The second Chaplygin transformation is obtained by applying the tangential Legendre transform. The function

is selected as the new unknown; it is expressed in terms of new independent variables and , which replace and by the formulas

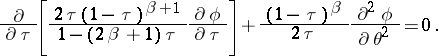
The equation

assumes a linear form:

Hodograph transforms are employed in solving problems in the theory of flow and of streams of gases flowing around curvilinear contours.

References

[1] S.A. Chaplygin, "On gas-like structures" , Moscow-Leningrad (1949) (In Russian)
[2] N.E. Kochin, I.A. Kibel', N.V. Roze, "Theoretical hydrodynamics" , Interscience (1964) (Translated from Russian)


Comments

References

[a1] N. Curle, H.J. Davies, "Modern fluid dynamics" , 1–2 , v. Nostrand-Reinhold (1971)
How to Cite This Entry:
Hodograph transform. Encyclopedia of Mathematics. URL: http://encyclopediaofmath.org/index.php?title=Hodograph_transform&oldid=17672
This article was adapted from an original article by L.N. Sretenskii (originator), which appeared in Encyclopedia of Mathematics - ISBN 1402006098. See original article