Cylinder coordinates
From Encyclopedia of Mathematics
cylindrical coordinates
Numbers
and
connected with the Cartesian coordinates
and
by the formulas:
![]() |
where
,
,
. The coordinate surfaces (see Fig.) are: circular cylinders
, half-planes
and planes
.
Figure: c027600a
The system of cylinder coordinates is orthogonal.
The Lamé coefficients are:
![]() |
The area element of a surface is:
![]() |
The volume element is:
![]() |
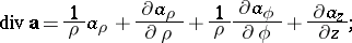
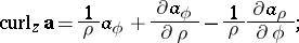
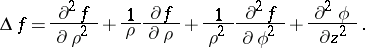
The differentiation operations of vector analysis are given by:
![]() |
![]() |
![]() |
![]() |
![]() |
Generalized cylinder coordinates are numbers
and
connected with Cartesian coordinates
and
by the formulas
![]() |
where
,
,
,
,
,
,
. The coordinate surfaces are: elliptic cylinders
, half-planes
and planes
.
Comments
References
| [a1] | U.G. Chambers, "A course in vector analysis" , Chapman & Hall (1969) |
How to Cite This Entry:
Cylinder coordinates. Encyclopedia of Mathematics. URL: http://encyclopediaofmath.org/index.php?title=Cylinder_coordinates&oldid=16846
Cylinder coordinates. Encyclopedia of Mathematics. URL: http://encyclopediaofmath.org/index.php?title=Cylinder_coordinates&oldid=16846
This article was adapted from an original article by D.D. Sokolov (originator), which appeared in Encyclopedia of Mathematics - ISBN 1402006098. See original article









