Secant method
A method for calculating zeros of continuous functions. Suppose that a zero 
 of a continuous function 
 is contained in 
; let 
, 
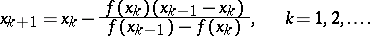
 be different points of this interval. The iteration formula of the secant method is
![]()  |  (1) | 
If the sequence 
 converges, then it must converge to a zero of 
. If 
 has a continuous derivative on 
, then the local convergence of the secant method to a simple root is super-linear. If the conditions on the smoothness of 
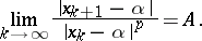
 are strengthened, one can indicate the exact order of (local) convergence [1]. Namely, for 
 and 
 such that 
, 
, 
, one has
![]()  |  
Here 
, and 
.
Super-linear convergence of the secant method for smooth functions is very important since there is no need to calculate the derivatives at each step, only the new value of the function is calculated. Thus, for comparison, in Newton's method (cf. Newton method), whose order of (local) convergence is 2, at each step one has to calculate the values of the function and its derivative; as a rule this is no less laborious than calculating two values of a function.
Since the convergence of the secant method depends on the smoothness of the function and the choice of the initial approximation, in standard computer programs for computing zeros of continuous functions this method is combined with some method for which convergence is guaranteed, for example, the method of bisecting an interval. At each step in such a combined method a root 
 is located in an interval 
 at the ends of which the function changes sign (it is assumed that this condition also holds for the initial interval 
). By a certain test the next approximation is chosen either by (1) or by the formula for bisecting an interval. If 
 is smooth, then from some 
 onwards the iterations proceed automatically by the secant method. It is possible to have an even more complicated combination of methods, for example, the 
 algorithm (see [2]) in which as well as the above-mentioned methods, the method of inverse quadratic interpolation is used. Sometimes by the secant method one means the iteration formula:
![]()  |  (2) | 
Another terminology for the method (2) is the method of false position, or regula falsi. This method only converges linearly.
In generalizations of the secant method to the case of a system of equations it is possible to consider (1) in two ways. It can be assumed that (1) is obtained from the formula of Newton's method by a discrete approximation of the derivative. Another possibility is to assume that a linear interpolation for 
 at points 
 and 
 has been carried out, and then 
 is taken to be the zero of the linear interpolant. Both interpretations enable one to obtain a large number of multi-dimensional analogues of the secant method; some of these (but certainly not all) have the same order of (local) convergence 
 (see [3]).
References
| [1] | R.P. Brent, "Algorithms for minimization without derivatives" , Prentice-Hall (1973) | 
| [2] | G.E. Forsythe, M.A. Malcolm, C.B. Moler, "Computer methods for mathematical computations" , Prentice-Hall (1977) | 
| [3] | J.M. Ortega, W.C. Rheinboldt, "Iterative solution of non-linear equations in several variables" , Acad. Press (1970) | 
Comments
References
| [a1] | F.B. Hildebrand, "Introduction to numerical analysis" , Dover, reprint (1987) pp. Chapt. 10 | 
| [a2] | W.H. Press, B.P. Flannery, S.A. Teukolsky, W.T. Vetterling, "Numerical recipes" , Cambridge Univ. Press (1986) pp. §9.2 | 
Secant method. Encyclopedia of Mathematics. URL: http://encyclopediaofmath.org/index.php?title=Secant_method&oldid=16449


