Namespaces
Variants
Actions

Root system

From Encyclopedia of Mathematics
Revision as of 17:14, 7 February 2011 by 127.0.0.1 (talk) (Importing text file)
(diff) ← Older revision | Latest revision (diff) | Newer revision → (diff)
Jump to: navigation, search

A finite set of vectors in a vector space over , possessing the following properties: 1) does not contain the null vector, and it generates ; 2) for every there exists an element of the space dual to such that and such that the endomorphism of maps into itself; 3) for all .

Sets of vectors with the properties listed above first arose in the theory of semi-simple complex Lie algebras, as weight systems of the adjoint representation of a maximal torus in such an algebra (see Weight of a representation of a Lie algebra; Lie algebra, semi-simple). Later it was noticed that such systems of vectors appear naturally in many other branches of mathematics, such as algebraic geometry [4], [7], the theory of singularities [7] and the theory of integer-valued quadratic forms [5]. Certain problems in number theory have also turned out to be connected with root systems [6].

General properties of root systems.

The endomorphism is a reflection relative to and is uniquely determined by the properties 1) and 2). The set of fixed points of is , and . The elements of are called the roots of the root system . Its rank is . A root system is said to be reduced if, for any , the vector is the only root collinear with . The set is a root system in , and for all ; it is called the dual (or inverse) of . The finite group generated by all automorphisms of which map onto itself is called the automorphism group of the root system . The subgroup of generated by the reflections , , is called the Weyl group of . If is a direct sum of subspaces , , and is a root system in , then is a root system in , called the direct sum of the root systems . A non-empty root system is said to be irreducible if it is not the direct sum of two non-empty root systems. Every root systems is the direct sum of some set of irreducible root systems, and this decomposition is unique up to the order of terms.

The connected components of the set are open simplicial cones, known as the chambers of the root system in (see Chamber). The Weyl group acts in a simply transitive manner on the set of all chambers. The closure of any chamber is a fundamental domain of the discrete group . Let be the walls of a chamber . For each wall there exists a unique root such that and lies on the same side of as . The family of roots forms a basis in , called the basis of the root system defined by the chamber . One also says that is the set of simple roots defined by . The group is generated by the reflections , , and moreover , where is the order of , is a system of defining relations for , so that is a Coxeter group. The group is the semi-direct product of the subgroup of all elements in that leave the set invariant, with .

A choice of a chamber defines an order relation on (compatible with the vector-space structure), with respect to which the positive elements are precisely the linear combinations of the simple roots with non-negative coefficients. Any root is either positive or negative, and all its coordinates with respect to the basis are integers. The subgroup of generated by the root system is a lattice (i.e. a discrete subgroup of rank , cf. Lattice in a Lie group) invariant under the Weyl group . Its elements are called the radical weights of the root system . The Weyl groups of root systems are precisely those discrete linear groups generated by reflections that leave no non-zero vectors fixed and possess an invariant lattice. If is regarded as a group of translations of the space , then the semi-direct product of and is known as the affine Weyl group of . is a discrete group of transformations of generated by reflections in the hyperplanes

where , . The quotient space of by is compact; if is irreducible, then a fundamental domain for is a simplex.

One can choose a positive-definite symmetric bilinear form on which is invariant under (the choice is not unique). This form gives the structure of a Euclidean space in which the elements of are orthogonal transformations, while the reflections , , have the following form for all :

Using the form , one can identify the spaces and , and then ; condition 3) in the definition of a root system means then that for all .

Thanks to the form one can speak of metric relations between roots, in particular of the angle between roots and of the length of a root. It turns out that the magnitude of the angle is independent of the choice of , while if a root system is irreducible, then this is also true for the ratio of the lengths of two roots.

Classification of root systems.

Let be some fixed basis of a reduced root system and let . The matrix , , is called the Cartan matrix of the root system ; this matrix has , and () may be , or . Up to permutation of indices, the Cartan matrix is independent of the choice of the basis. Two root systems with identical Cartan matrices are isomorphic.

With any root system one usually associates its Coxeter graph, the vertices of which are the basis elements , with vertices and joined by one, two or three edges or not joined at all, respectively, according as the product equals , or . A root system is irreducible if and only if its Coxeter graph is connected. The Coxeter graph defines only the angles between pairs of basic roots; it does not determine the Cartan matrix (though it does determine the Weyl group): There exist dual non-isomorphic root systems with the same Coxeter graph. However, the Cartan matrix (and together with it the root system) is completely determined by the directed Coxeter graph, also known as the Dynkin diagram or simple root diagram of the root system. The direction is defined by the rule: If the simple roots and are not orthogonal and are different in length, the two or three edges joining the -th and -th vertices are assigned the inequality sign , directed towards the vertex corresponding to the root of smaller length. In some cases, above each vertex of the Coxeter graph one writes a number proportional to the squared length of the corresponding root (the same proportionality factor for all the roots); this weighted graph also uniquely determines the original root system.

The following is a complete list of the pairwise non-isomorphic, irreducible, reduced root systems, as defined by their simple root diagrams: vertices vertices vertices vertices

Figure: r082590a

Construction of the irreducible root systems.

Let be the canonical basis in , the standard scalar product in for which , and the lattice in generated by the vectors .

1) Let be a hyperplane in orthogonal to the vector . Then

is a root system of type . For , this root system has the form

Figure: r082590b

2) The set of vectors

in is a root system of type . For it has the form

Figure: r082590c

3) A root system of type is dual to a system of type and consists of the vectors

4) The set of vectors

in is a root system of type .

5) A root system of type has the form

Figure: r082590d

and it can be described as the set of algebraic integers of the cyclotomic field generated by a cubic root of unity with norm or .

6) The set of vectors

in is a root system of type .

7) The set of vectors

where

in is a root system of type .

8) A root system of type can be obtained as the intersection of a root system of type with the subspace of spanned by .

9) A root system of type can be obtained as the intersection of a root system of type with the subspace of spanned by .

10) For each dimension there exists (up to an isomorphism) exactly one non-reduced irreducible root system , namely, the union of and (see above). For the system has the form

Figure: r082590e

Concerning affine root systems, see [6].

References

[1] N. Bourbaki, "Groupes et algèbres de Lie" , Eléments de mathématiques , Hermann (1968) pp. Chapts. 4–6
[2] J.-P. Serre, "Algèbres de Lie semi-simples complexes" , Benjamin (1966)
[3] R.G. Steinberg, "Lectures on Chevalley groups" , Yale Univ. Press (1967)
[4] Yu.I. Manin, "Cubic forms. Algebra, geometry, arithmetic" , North-Holland (1974) (Translated from Russian)
[5] J. Milnor, D. Husemoller, "Symmetric bilinear forms" , Springer (1973)
[6] I.G. Macdonald, "Affine root systems and Dedekind's eta function" Invent. Math. , 15 (1972) pp. 91–143
[7] V.I. Arnol'd, "Critical points of smooth functions and their normal forms" Russian Math. Surveys , 30 : 5 (1975) pp. 1–75 Uspekhi Mat. Nauk , 30 : 5 (1975) pp. 3–65


Comments

In the Western literature one usually says Dynkin graph instead of Coxeter graph, especially in connection with Lie theory. The directed Coxeter graph or simple root diagram is commonly called Dynkin diagram.

See also [a4] for an introduction to root systems. Note that the notion of Coxeter graph used in the article above differs slightly from the notion used by N. Bourbaki [1].

In a sense, root systems are the combinatorial remnants of semi-simple Lie groups and one would like to express results on semi-simple Lie groups (e.g. classification of representations) in terms of the combinatorics of root systems. An example of this principle are the Kazhdan–Lusztig polynomials, defined in purely combinatorial terms of Coxeter groups, which describe the multiplicities of the composition factors for Verma modules [a7].

Root systems admit a refined special function theory, partly motivated by and related to the theory of semi-simple Lie groups, such as Macdonald's identity (the affine version of the Weyl denominator formula [6]), the invariant theory for -functions [a8] and a hypergeometric-type function theory . In this latter framework also fit the constant-term conjectures of I.G. Macdonald (see below).

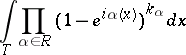
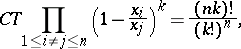
Most of these were first formulated and proved for or without any reference to root systems. Dyson's conjecture can be stated as:

where is a non-negative integer and denotes the constant term coefficient in the Laurent series expansion in . Macdonald's conjecture [a5] generalizes this from root system to an arbitrary not necessarily reduced root system as follows. For each , let be a non-negative integer depending only on the length of . Let be a choice of the set of positive roots. Put and if . Then

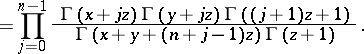
Selberg's integral is:

For taking values in a discrete set, it is equivalent to Macdonald's conjecture. Similarly, the left-hand side in Macdonald's general conjecture can be rewritten as

or

where is the torus and is normalized Lebesgue measure on . Macdonald's conjecture was proved for special root systems by various authors in various different ways. See the survey [a1] for references and for a description of -analogues and of Moris' conjecture related to affine root systems. Finally, Macdonald's conjecture was proved in [a6] in full generality and without use of the classification of root systems. The proof used shift operators and orthogonal polynomials (Jacobi polynomials) related to the root system.

Let be the weight lattice for and let consist of all weights for which for all in . Let be the partial order on such that if is a linear combination of positive roots with non-negative integer coefficients. On the space of exponential polynomials on (spanned by , ) which are moreover invariant under the Weyl group , define the Hermitian inner product

where the are non-negative real numbers depending only on . For the Jacobi polynomial is defined on by:

1) (here is the convex hull of , intersected with ) with and , .

2) for all with .

It was shown in [a2], and subsequently much easier in [a3], that whenever .

References

[a1] L. Habsieger, "Macdonald conjectures and the Selberg integral" , q-Series and Partitions , IMA Vol. Math. Appl. , 18 , Springer (1989) pp. 99–108
[a2] G.J. Heckman, "Root systems and hypergeometric functions II" Compositio Math. , 64 (1987) pp. 353–373
[a3] G.J. Heckman, "An elementary approch to the hypergeometric shift operators of Opdam" Invent. Math. , 103 (1991) pp. 341–350
[a4] J.E. Humphreys, "Introduction to Lie algebras and representation theory" , Springer (1980)
[a5] I.G. Macdonald, "Some conjectures for root systems" SIAM J. Math. Anal. , 13 (1982) pp. 988–1007
[a6] E.M. Opdam, "Some applications of hypergeometric shift operators" Invent. Math. , 98 (1989) pp. 1–18
[a7] D. Kahzdan, G. Lusztig, "Representations of Coxeter groups and Hecke algebras" Invent. Math. , 53 (1979) pp. 165–184
[a8] E. Looyenga, "Root systems and elliptic curves" Invent. Math. , 38 (1976) pp. 17–32
[a9a] G.J. Heckman, E.M. Opdam, "Root systems and hypergeometric functions, I, II" Comp. Math. , 64 (1987) pp. 329–352; 353–373
[a9b] G.J. Heckman, E.M. Opdam, "Root systems and hypergeometric functions, III, IV" Comp. Math. , 67 (1988) pp. 21–49; 191–209
[a10] H. Freudenthal, H. de Vries, "Linear Lie groups" , Acad. Press (1969)
[a11] N. Jacobson, "Lie algebras" , Interscience (1962) ((also: Dover, reprint, 1979))
How to Cite This Entry:
Root system. Encyclopedia of Mathematics. URL: http://encyclopediaofmath.org/index.php?title=Root_system&oldid=15753
This article was adapted from an original article by V.L. Popov (originator), which appeared in Encyclopedia of Mathematics - ISBN 1402006098. See original article