Namespaces
Variants
Actions

Neyman method of confidence intervals

From Encyclopedia of Mathematics
Revision as of 17:13, 7 February 2011 by 127.0.0.1 (talk) (Importing text file)
(diff) ← Older revision | Latest revision (diff) | Newer revision → (diff)
Jump to: navigation, search

One of the methods of confidence estimation, which makes it possible to obtain interval estimators (cf. Interval estimator) for unknown parameters of probability laws from results of observations. It was proposed and developed by J. Neyman (see [1], [2]). The essence of the method consists in the following. Let be random variables whose joint distribution function depends on a parameter , . Suppose, next, that as point estimator of the parameter a statistic is used with distribution function , . Then for any number in the interval one can define a system of two equations in :

(*)

Under certain regularity conditions on , which in almost-all cases of practical interest are satisfied, the system (*) has a unique solution

such that

The set is called the confidence interval (confidence estimator) for the unknown parameter with confidence probability . The statistics and are called the lower and upper confidence bounds corresponding to the chosen confidence coefficient . In turn, the number

is called the confidence coefficient of the confidence interval . Thus, Neyman's method of confidence intervals leads to interval estimators with confidence coefficient .

Example 1. Suppose that independent random variables are subject to one and the same normal law whose mathematical expectation is not known (cf. Normal distribution). Then the best estimator for is the sufficient statistic , which is distributed according to the normal law . Fixing in and solving the equations

one finds the lower and upper confidence bounds

corresponding to the chosen confidence coefficient . Since

the confidence interval for the unknown mathematical expectation of the normal law has the form

and its confidence coefficient is precisely .

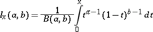
Example 2. Let be a random variable subject to the binomial law with parameters and (cf. Binomial distribution), that is, for any integer ,

where

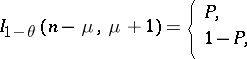
is the incomplete beta-function (, , ). If the "success" parameter is not known, then to determine the confidence bounds one has to solve, in accordance with Neyman's method of confidence intervals, the equations

where . From tables of mathematical statistics the roots and of these equations are determined, which are the upper and lower confidence bounds, respectively, with confidence coefficient . The coefficient of the resulting confidence interval is precisely . Obviously, if an experiment gives , then , and if , then .

Neyman's method of confidence intervals differs substantially from the Bayesian method (cf. Bayesian approach) and the method based on Fisher's fiducial approach (cf. Fiducial distribution). In it the unknown parameter of the distribution function is treated as a constant quantity, and the confidence interval is constructed from an experiment in the course of which the value of the statistic is calculated. Consequently, according to Neyman's method of confidence intervals, the probability for to hold is the a priori probability for the fact that the confidence interval "covers" the unknown true value of the parameter . In fact, Neyman's confidence method remains valid if is a random variable, because in the method the interval estimator is constructed from carrying out an experiment and consequently does not depend on the a priori distribution of the parameter. Neyman's method differs advantageously from the Bayesian and the fiducial approach by being independent of a priori information about the parameter and so, in contrast to Fisher's method, is logically sound. In general, Neyman's method leads to a whole system of confidence intervals for the unknown parameter, and in this context arises the problem of constructing an optimal interval estimator having, for example, the properties of being unbiased, accurate or similar, which can be solved within the framework of the theory of statistical hypothesis testing.

References

[1] J. Neyman, "On the problem of confidence intervals" Ann. Math. Stat. , 6 (1935) pp. 111–116
[2] J. Neyman, "Outline of a theory of statistical estimation based on the classical theory of probability" Philos. Trans. Roy. Soc. London. Ser. A. , 236 (1937) pp. 333–380
[3] L.N. Bol'shev, N.V. Smirnov, "Tables of mathematical statistics" , Libr. math. tables , 46 , Nauka (1983) (In Russian) (Processed by L.S. Bark and E.S. Kedrova)
[4] L.N. Bol'shev, "On the construction of confidence limits" Theor. Probab. Appl. , 10 (1965) pp. 173–177 Teor. Veroyatnost. i Primenen. , 10 : 1 (1965) pp. 187–192
[5] E.L. Lehmann, "Testing statistical hypotheses" , Wiley (1986)
How to Cite This Entry:
Neyman method of confidence intervals. Encyclopedia of Mathematics. URL: http://encyclopediaofmath.org/index.php?title=Neyman_method_of_confidence_intervals&oldid=15679
This article was adapted from an original article by M.S. Nikulin (originator), which appeared in Encyclopedia of Mathematics - ISBN 1402006098. See original article