Parametric resonance, mathematical theory of
The branch of the theory of ordinary differential equations that studies the phenomenon of parametric resonance.
Let
be a dynamical system that can only perform oscillatory motions and that is given by a linear Hamiltonian system (cf. Hamiltonian system, linear) (an unperturbed equation)
![]() |
with a constant real positive Hamiltonian
. Thus, the
-matrix
can be brought to diagonal form with purely-imaginary elements
![]() |
the
being the eigen frequencies of the system. Suppose that some parameters of
begin to change periodically with a frequency
and with small amplitudes the values of which are determined by a small parameter
. If the perturbation does not lead out of the class of linear Hamiltonian systems, then the motion of
can be described by the perturbed equation
![]() | (1) |
where the
,
are piecewise-continuous
-matrix-valued functions, integrable on
, and where the series on the right-hand side of (1) converges for
,
being independent of
.
The emergence of unboundedly-increasing oscillations of
under an arbitrarily small periodic perturbation of its parameters is called parametric resonance. It has two essential peculiarities: 1) the spectrum of frequencies for which there arise unboundedly-increasing oscillations is not a point spectrum but consists of a collection of small intervals with lengths depending on the amplitude of the perturbations (that is, on
) and contracting to a point as
; the values of the frequencies to which these intervals contract are called critical; 2) the oscillations grow not by a power but by an exponential law. This parametric resonance is considerably more "dangerous" (or "useful" , depending on the problem) than ordinary resonance.
Let
be the eigen values of the first kind, numbered so that
. Then only frequencies of the following form can be critical:
![]() | (2) |
Suppose that the eigen vectors
of
for which
,
, are normalized so that
![]() |
where
is the Kronecker symbol and
![]() |
Then the domains of instability in a first approximation in
are determined by the inequalities
![]() | (3) |
where
![]() | (4) |
If
, then the domain of instability corresponds to a basic resonance, and for
to a combined resonance. The quantities
characterize the "degree of danger" of the critical frequency
: the larger this quantity, the wider is the "wedge" of instability (3), with a peak at
. The analytic dependence on the parameter
of the boundaries of the domains of instability has been established and effective formulas have been obtained for the computation of the domains (3) in the second approximation (see [3], [4], [9]).
In the case, frequently occurring in applications, when the perturbed system
can be described by a second-order vector-valued equation
![]() | (5) |
where
and
,
the eigen vectors and eigen values of
(the squares of the frequencies of the undisturbed system) are determined by
![]() |
![]() |
Let
![]() |
Then (2) and (4) take the form
![]() |
![]() |
respectively. In particular, in a basis
in which
is in diagonal form:
![]() |
and
![]() |
one has
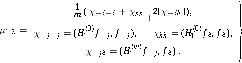
![]() |
and consequently (see [5])
![]() |
![]() |
The case of a non-linear dependence of the coefficients of (1) and (5) on the parameter
has also been treated (see [4], [9]). Parametric resonance in linear systems close to being Hamiltonian has been studied (see [6], [9]). Here the domains of basic resonance form those of principal resonance, and together with the domains of combined resonance there appear domains of combined-difference resonance. For parametric resonance in linear distributed systems (see [7]) a number of similar results have been obtained for operator equations (1) in a Hilbert space. Parametric resonance has also been investigated for certain classes of systems with finitely many degrees of freedom that can be described by non-linear differential equations (see [8]).
References
| [1] | M.G. Krein, "Foundations of the theory of -zones of stability of a canonical system of linear differential equations with periodic coefficients" Transl. Amer. Math. Soc. (2) , 120 (1983) pp. 1–70 In memoriam: A.A. Andronov (1955) pp. 413–498 |
| [2] | V.A. Yakubovich, "On the dynamic stability of elastic systems" Dokl. Akad. Nauk SSSR , 121 : 4 (1958) pp. 602–605 (In Russian) |
| [3] | V.A. Yakubovich, "Regions of dynamic instability of Hamiltonian systems" Metody Vychisl. , 3 (1966) pp. 51–69 (In Russian) |
| [4] | V.A. Yakubovich, V.M. Starzhinskii, "Linear differential equations with periodic coefficients and their applications" , 1–2 , Wiley (1975) (Translated from Russian) |
| [5] | I.G. Malkin, "Some problems in the theory of non-linear oscillations" , Moscow (1956) (In Russian) |
| [6] | V.M. Starzhinskii, Inzh. Zh. Mekh. Tverd. Tela , 3 (1967) pp. 174–180 |
| [7] | V.N. Fomin, "Mathematical theory of parameter resonance in linear distributed systems" , Leningrad (1972) (In Russian) |
| [8] | G. Schmidt, "Parametererregte Schwingungen" , Deutsch. Verlag Wissenschaft. (1975) |
| [9] | V.A. Yakubovich, V.M. Starzhinskii, "Parameter resonance in linear systems" , Moscow (1987) (In Russian) |
Comments
Parametric resonances, or parametrically sustained vibrations, naturally occur e.g. in electric wires and pantographs (devices for reproducing motions or geometric drawings at an enlarged or reduced scale) and care must be taken in the design to control them. On the other hand, various parametric devices in electronics (for instance, a parametric amplifier) make effective use of parametric resonances.
References
| [a1] | V.I. Arnol'd, A. Avez, "Problèmes ergodiques de la mécanique classique" , Gauthier-Villars (1967) pp. §20.5; Append. 29 (Translated from Russian) |
Parametric resonance, mathematical theory of. Encyclopedia of Mathematics. URL: http://encyclopediaofmath.org/index.php?title=Parametric_resonance,_mathematical_theory_of&oldid=15539



















-zones of stability of a canonical system of linear differential equations with periodic coefficients" Transl. Amer. Math. Soc. (2) , 120 (1983) pp. 1–70 In memoriam: A.A. Andronov (1955) pp. 413–498