Eikonal equation
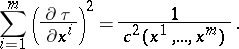
A partial differential equation of the form
![]() |
Here
is the dimension of the space and
is a smooth function bounded away from zero. In applications
is the speed of the wave, and the surfaces
are the wave fronts. The rays (see Fermat principle) are the characteristics of the eikonal equation. This equation has a number of generalizations and analogues. In particular, one such generalization is
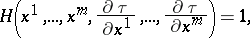
![]() |
where the function
is homogeneous of degree 1 with respect to
and satisfies some additional restrictions. Of considerable interest is the non-stationary analogue
![]() |
This is a special case of the dispersion equations occurring in the theory of wave phenomena, which have the form
![]() |
Here
is a given function.
The mathematical theory of geometrical optics can be regarded as the theory of the eikonal equation. All forms of the eikonal equation are first-order partial differential equations. The solution of the eikonal equation may have singularities. Their theory is part of that of the singularities of differentiable mappings (see also Hamilton–Jacobi theory; Geometric approximation, and Ray method).
References
| [1] | V.M. Babich, V.S. Buldyrev, "Asymptotic methods in problems of diffraction of short waves" , Moscow (1972) (In Russian) (Translation forthcoming: Springer) |
| [2] | G.B. Whitham, "Linear and nonlinear waves" , Wiley (1974) |
Comments
For a nice account of the theory of geometrical optics see [a3]; geometrical optics and pseudo-differential operator theory are treated in [a2].
References
| [a1] | P.R. Garabedian, "Partial differential equations" , Wiley (1964) |
| [a2] | M.E. Taylor, "Pseudodifferential operators" , Princeton Univ. Press (1981) |
| [a3] | M. Kline, I.W. Kay, "Electromagnetic theory and geometrical optics" , Interscience (1965) |
| [a4] | L.B. Felsen, N. Marcuvitz, "Radiation and scattering of waves" , Prentice-Hall (1973) pp. Sect. 1.7 |
Eikonal equation. Encyclopedia of Mathematics. URL: http://encyclopediaofmath.org/index.php?title=Eikonal_equation&oldid=14664



