Hypergeometric equation
Gauss equation
An ordinary second-order linear differential equation
![]() | (1) |
![]() |
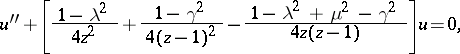
or, in self-adjoint form,
![]() |
The variables
and the parameters
assume, in the general case, complex values. After substituting
![]() |
the reduced form of equation (1) is obtained:
![]() | (2) |
where
,
, and
.
Equation (1) was studied in detail by C.F. Gauss
in connection with his theory of the hypergeometric series, but had been considered (together with its solution) by L. Euler at an even earlier date.
Solutions of equation (1) are expressed by way of the hypergeometric function
. If
is not an integer, the general solution of (1) may be written as
![]() | (3) |
![]() |
where
and
are arbitrary constants. The representation (3) is valid in the complex
-plane with slits
and
. In particular, in the real case (3) yields the general solution of (1) in the interval
. For integral values of
the general solution is more complicated (the individual terms may contain logarithms).
Functions other than those shown in (3) may also be selected as a fundamental system of solutions of equation (1). For instance, if
is not an integer, then
![]() |
![]() |
is the general solution of (1) in the complex plane with slit
[2], [3].
The Gauss equations include, as particular cases, a number of differential equations encountered in applications; many ordinary linear second-order differential equations are reduced to (1) by transforming the unknown function and the independent variable [4]. The confluent hypergeometric equation, which is close to equation (1), is particularly important. The ratio
of two linearly independent solutions of equation (2) satisfies the Schwarz equation, which is closely connected with the problem of conformal mapping a semi-plane onto a triangle bounded by three peripheral arcs. The study of the inverse function
leads to the concept of an automorphic function [5].
There exist linear equations of higher orders whose solutions display properties similar to those of hypergeometric functions: The solution of the following equation of order
,
![]() |
is the generalized hypergeometric function
with
parameters. In particular, the generalized hypergeometric equation of the third order, the solution of which is
, may be represented as
![]() |
![]() |
![]() |
References
| [1a] | C.F. Gauss, "Disquisitiones generales circa seriem infinitam " Comm. Soc. Regia Sci. Göttingen Rec. , 2 (1812) |
| [1b] | C.F. Gauss, "Disquisitiones generales circa seriem infinitam " , Werke , 3 , K. Gesellschaft Wissenschaft. Göttingen (1876) |
| [2] | A. Krazer, W. Franz, "Transzendente Funktionen" , Akademie Verlag (1960) |
| [3] | H. Bateman (ed.) A. Erdélyi (ed.) , Higher transcendental functions , 1–3 , McGraw-Hill (1953–1955) |
| [4] | E. Kamke, "Differentialgleichungen: Lösungen und Lösungsmethoden" , 1. Gewöhnliche Differentialgleichungen , Chelsea, reprint (1971) |
| [5] | V.V. Golubev, "Vorlesungen über Differentialgleichungen im Komplexen" , Deutsch. Verlag Wissenschaft. (1958) (Translated from Russian) |
Comments
The hypergeometric equation is a differential equation with three regular singular points (cf. Regular singular point) at 0, 1 and
such that both at 0 and 1 one of the exponents equals 0. So it is a special case of the Riemann differential equation. The hypergeometric equation has been generalized to a system of partial differential equations with regular singularities such that the Appell or Lauricella hypergeometric function in several variables is a solution, cf. [a1]. In [a2], [a3] a study is made of a second-order partial differential equation associated with a root system, which generalizes the case of the root system
for the ordinary hypergeometric equation.
References
| [a1] | P. Appell, M.J. Kampé de Fériet, "Fonctions hypergéométriques et hypersphériques: Polynômes d'Hermite" , Gauthier-Villars (1926) |
| [a2] | G.J. Heckman, E.M. Opdam, "Root systems and hypergeometric functions I" Compositio Math. , 64 (1987) pp. 329–352 |
| [a3] | G.J. Heckman, "Root systems and hypergeometric functions II" Compositio Math. , 64 (1987) pp. 353–373 |
Hypergeometric equation. Encyclopedia of Mathematics. URL: http://encyclopediaofmath.org/index.php?title=Hypergeometric_equation&oldid=14414













" Comm. Soc. Regia Sci. Göttingen Rec. , 2 (1812)
" , Werke , 3 , K. Gesellschaft Wissenschaft. Göttingen (1876)