Buchstab identity
A form of the Sylvester inclusion-and-exclusion principle specialized to sieve theory (cf. also Sieve method). Let
be a finite integer sequence and, for any integer
, denote by
the subsequence of elements of
that are multiples of
. Let
be a set of prime numbers (cf. also Prime number), and, for
, let
. Finally, let
![]() |
denote the "sifting function" associated with
and
. The Bukhstab identity asserts that, for
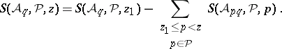
,
![]() | (a1) |
The identity is useful for deriving a lower-bound sieve estimate from an upper bound sieve estimate (or vice versa) as follows. If the parameter
is sufficiently small, then the quantity
on the right-hand side of (a1) usually can be estimated asymptotically. Thus, if an upper bound for each of the terms
on the right-hand side of (a1) is known, then a lower bound for the sifting function on the left-hand side of (a1) can be deduced.
References
| [a1] | H. Halberstam, H.-E. Richert, "Sieve methods" , Acad. Press (1974) |
Buchstab identity. Encyclopedia of Mathematics. URL: http://encyclopediaofmath.org/index.php?title=Buchstab_identity&oldid=13771

