Namespaces
Variants
Actions

Laguerre transform

From Encyclopedia of Mathematics
Revision as of 17:05, 7 February 2011 by 127.0.0.1 (talk) (Importing text file)
(diff) ← Older revision | Latest revision (diff) | Newer revision → (diff)
Jump to: navigation, search

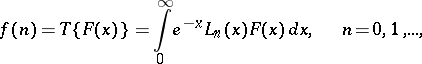
The integral transform

where is the Laguerre polynomial (cf. Laguerre polynomials) of degree . The inversion formula is

if the series converges. If is continuous, is piecewise continuous on and , , , then

If and are continuous, is piecewise continuous on and , , , then

If is piecewise continuous on and , , , then for

and for ,

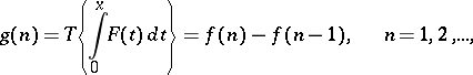
Suppose that and are piecewise continuous on and that

Then

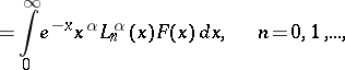
The generalized Laguerre transform is

where is the generalized Laguerre polynomial (see [4]).

References

[1] A.G. Zemanian, "Generalized integral transformations" , Interscience (1968)
[2] J. McCully, "The Laguerre transform" SIAM Rev. , 2 : 3 (1960) pp. 185–191
[3] L. Debnath, "On Laguerre transform" Bull. Calcutta Math. Soc. , 52 : 2 (1960) pp. 69–77
[4] Yu.A. Brychkov, A.P. Prudnikov, "Operational calculus" Progress in Math. , 1 (1968) pp. 1–74 Itogi Nauk. Mat. Anal. 1966 (1967) pp. 7–82
How to Cite This Entry:
Laguerre transform. Encyclopedia of Mathematics. URL: http://encyclopediaofmath.org/index.php?title=Laguerre_transform&oldid=13724
This article was adapted from an original article by Yu.A. BrychkovA.P. Prudnikov (originator), which appeared in Encyclopedia of Mathematics - ISBN 1402006098. See original article