Harmonizable random process
A complex-valued random function
of a real parameter
which may be represented as a stochastic integral:
![]() | (*) |
where
,
, is a random process. The increments
in (*) define random "amplitudes"
and "phases"
of elementary vibrations of the form
![]() |
of frequencies
,
, the superposition of which yields, in the limit,
. The (mean-square) limit in the representation (*) is taken along a sequence of successively-finer subdivisions of the line
into intervals
with
. It is usually assumed that
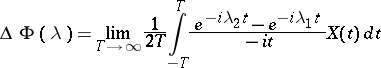
![]() |
as a function of the sets
in the plane, defines a complex measure of bounded variation; in this case the corresponding process
,
(or, more exactly, the corresponding random measure
), is unambiguously defined by the process
,
, itself:
![]() |
for any interval
such that
, and
![]() |
for any point
,
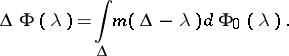
. A random process
,
, is harmonizable if and only if its covariance is representable in the form
![]() |
Examples of harmonizable random processes.
1) A modulated stationary random process. If
![]() |
is a stationary random process, a process of the form
![]() |
where
, where
is a measure on the line, is usually no longer stationary, but will be harmonizable:
![]() |
where the random measure
is defined by the formula
![]() |
2) A process defined by sliding summation (or moving averages)
![]() |
where
is some random measure on the line and the weight function
is of the same type as above:
![]() |
In this case
![]() |
where
![]() |
References
| [1] | M. Loève, "Probability theory" , 2 , Springer (1978) |
Harmonizable random process. Encyclopedia of Mathematics. URL: http://encyclopediaofmath.org/index.php?title=Harmonizable_random_process&oldid=13407













