Kawaguchi space
A smooth
-dimensional manifold
in which the arc element
of a regular curve
,
, is expressed by the formula
![]() | (1) |
where the metric function
satisfies Zermelo's conditions:
![]() | (2) |
![]() |
and where
![]() |
Condition (2) ensures that the arc element
is independent of the parametrization of the curve
.
The general theory of Kawaguchi spaces was first set forth by A. Kawaguchi (see [1]). Underlying the study of Kawaguchi spaces is the fact that arc elements of the form (1) are encountered in various homogeneous spaces (for example, the affine arc and the projective arc). It was later established (see [2]) that in any homogeneous space there exists an invariant Kawaguchi metric (1) whose automorphism group is the same as the group of transformations of the homogeneous space. The fundamentals of the general theory of Kawaguchi spaces were developed along the formal lines of a generalized tensor calculus and of parallel displacement. Kawaguchi considered as his basic space the fibre space whose base is the space of linear elements
,
, of order
, and whose fibres are the
-dimensional vector spaces
tangent to
. Covariant differentiation of the contravariant vectors
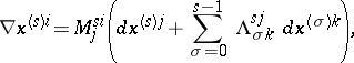
is defined by means of the covariant differentiation operators
![]() |
![]() |
![]() |
where
,
and
depend on the linear elements of order
. These operators can be constructed by means of a triple extension of the metric function and the metric tensor
defined by it, the latter depends also on the linear elements of order
. The general theory of Kawaguchi spaces has not been very thoroughly developed using the above construction, partly in view of the fact that the order
of the basic space of linear elements proves to be higher than the order
of the space on which the metric function
is defined and on which all the differential invariants of the Kawaguchi space must be defined.
Other possibilities of studying Kawaguchi spaces are based on the modern theory of fibre spaces, the theory of jets and the theory of non-linear connections. Along such lines, and by applying the differential-algebraic method of extensions and envelopes, a reductive linear connection has been found for a wide class of Kawaguchi spaces in a suitably selected fibre space, the base of which is the space of linear elements of order
. The structure equations of the forms of this connection provide a complete system of tensor invariants of Kawaguchi spaces on the basis of which one can formulate invariant criteria for some important classes of Kawaguchi spaces.
In the differential geometry of generalized spaces, a major role is played by the study of special Kawaguchi spaces with a metric of the form
![]() |
where the
and
are functions of
and
. This makes such spaces closer to Finsler spaces (cf. Finsler space). In this case the general theory of Kawaguchi turns out to be inapplicable, since the metric tensor
degenerates. Therefore the following asymmetric tensor is introduced:
![]() |
which in the general case is not degenerate. In contrast to such spaces, Kawaguchi spaces of general type present a differential-geometric structure of higher order.
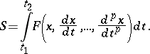
The study of Kawaguchi spaces is used also in search for geometric approaches to the study of variational problems for integrals of the form
![]() |
References
| [1] | A. Kawaguchi, "Theory of connections in a Kawaguchi space of higher order" Proc. Imp. Acad. Tokyo , 13 (1937) pp. 237–240 |
| [2] | M.V. Losik, "Kawaguchi spaces associated with Klein spaces" Tr. Sem. Vektor. Tenzor. Anal. , 12 (1963) pp. 213–237 (In Russian) |
| [3] | V.I. Bliznikas, "Finsler spaces and their generalizations" Progress in Math. , 9 (1971) pp. 75–136 Itogi Nauk. Alg. Topol. Geom. 1967 (1969) pp. 73–125 |
Kawaguchi space. Encyclopedia of Mathematics. URL: http://encyclopediaofmath.org/index.php?title=Kawaguchi_space&oldid=13295









