Namespaces
Variants
Actions

Functional equation, methods of solution of a

From Encyclopedia of Mathematics
Revision as of 17:01, 7 February 2011 by 127.0.0.1 (talk) (Importing text file)
(diff) ← Older revision | Latest revision (diff) | Newer revision → (diff)
Jump to: navigation, search

Methods for finding exact or approximate solutions of specific or abstract functional equations, that is, equations of the form

(1)

where is a certain, generally speaking non-linear, operator transforming the elements of a -space (or a space of some other type) into elements of a space of the same type (see Functional equation). Exact solutions in the form of analytic expressions have been obtained only for a few types of functional equations, therefore approximate methods of solution are especially valuable.

A number of methods have evolved to find solutions of general functional equations of the form (1). For example, the method of infinite power series, the method of successive approximations, the Galerkin method (the method of moments), the method of tangent hyperbolas, Chebyshev's method (of tangent parabolas), the Newton–Kantorovich method and its modifications, the method of steepest descent (cf. Steepest descent, method of), etc., as well as the method of variation of the parameter (direct, iterative and combined, cf. Parameter, method of variation of the) of particular types and its various modifications, including successive approximations to the inverse operator. General methods have been applied to solve various specific functional equations in mathematical analysis. In addition there are special methods for solving specific functional equations, including numerical methods, for example, the grid method, etc. The method of variation of the parameter, the Newton–Kantorovich method and certain other methods indicated also have theoretical significance, since they can be used to draw conclusions about the existence, uniqueness and the domain of location of a solution of a functional equation without finding the solution itself, which is sometimes no less important then the actual value of the solution. The direct method of variation of the parameter is considered below as an example.

In the Banach space of linear bounded operators, let a non-linear operator ordinary differential equation be given on the infinite interval:

(2)

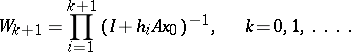
where (, are given, is the identity operator), and is an abstract function with values in ( is a -space). The problem of constructing the inverse operator , for an invertible operator , the solution of a linear operator equation of the form , etc., are all reduced to solving equation (2) by the direct method of variation of the parameter. If the spectrum of the operator (respectively, ) is situated in the right half-plane, then problem (2) has a unique solution , , .

An analytic application to the Cauchy problem (2) of methods for the numerical integration of ordinary differential equations leads to a whole class of direct methods of variation of the parameter for solving (2), and consequently also to the solutions of problems that reduce to (2). For example, the Euler method with irregular step leads to the following method for constructing :

(3)

The steps in (3) are chosen in various ways. When the spectrum of (respectively, ) is on the real axis in an interval , , then the following method for choosing is very effective:

(4)

Here, the rate of convergence in (3) is of order higher than , and the norm of the discrepancy decreases according to the law . The case of an interval , , can be reduced, with advantage, to the one-step method (3) considered, where

Regarding the convergence of (3), (4), there are some results, stated for specific operator equations, based on general facts and depending on which space is taken as a base.

The problem of constructing projections of the form

also reduces to the solution of problem (2) (the case when the spectrum of (respectively, ) is in ) and so does the problem of constructing pseudo-inverse operators (respectively, ) for the operator such that

For a direct construction of the projections (respectively, ), the method (3), (4) can be rewritten in the form

Depending on the location of the spectrum and the properties of one can take, for example, the operators , , , etc., in place of .

Using the direct method of variation of the parameter one can reduce to the abstract linear functional ordinary differential equation

(5)

where , and is an abstract function with values in , the problem of constructing directly the pseudo-solutions of a linear functional equation of the form

(6)

or of the functional equations if . Other problems also reduce to (5), including problems for ordinary and partial differential equations, integral equations, etc. The formula

gives the unique solution to equation (5) satisfying .

For example, applying Euler's method with forward step to problem (5) leads to the following method for constructing pseudo-solutions to (6):

(7)

The steps are chosen, for example, in terms of the roots of the Chebyshev polynomials :

(8)

when is a self-adjoint operator with non-zero part of the spectrum in , . Here, is a certain permutation of in order that the computation be stable and is the degree of the required polynomial. The method (7), (8) gives an optimum estimate of convergence only at the -th step. When (or ) the choice of steps in (7) is very effective if they depend successively on the roots of the Chebyshev polynomials

instead of on ; this substantially simplifies the problem of ordering the steps and increases the effectiveness of the computation, especially for large . In this case the error decreases optimally after using all the ordered roots of each polynomial, which is important for a simplification of the control of the computation. If , then ; moreover, if is an orthogonal projection operator, then is the normal solution of the functional equation . On the other hand (7) implies (for )

If is a projection operator, then

as .

There are also direct methods of variation of the parameter of Euler type using the recurrence relations for Chebyshev, and closely related, polynomials (without using the roots of these polynomials explicitly); for these the error decreases at each step. These are multi-step methods and have an increased rate of convergence. Applying Euler's method with backward step to problem (5) gives the following effective class of methods:

whence

Moreover, if is a projection operator and is such that for any ,

then

There are analogous methods for solving non-linear functional equations and operator equations, and also methods with increased accuracy of Runge–Kutta type with -th order accuracy, and other types.

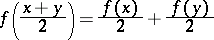
The solution of a functional equation in the narrow sense, or of systems of such equations, can be a specific function as well as a class of functions depending on arbitrary parameters or arbitrary functions. In the theory of functional equations there are few general methods known for solving such equations. Hence it is necessary, as a rule, to investigate in each particular case the degree of generality of the solution obtained.

One of the more-or-less general methods for solving functional equations is by reducing them to equations in finite differences. For example, take a functional equation of order and class 1 of the form

(9)

where the function is given and is the unknown function. Here

Further, assume that , . The transition from to is replaced by introducing a new variable and increasing by 1 in the function . After such a change, equation (9) has the form

(10)

The solution of the -th order finite-difference equation (10) gives an expression for in terms of and arbitrary periodic functions in with period one. The most general form of the solution to (9) is a system of two compatible equations

(11)

By choosing particular values for one can eliminate from (11) and thus obtain a particular solution to (9). For example, for the -nd order functional equation

(12)

the general solution (11) takes the form

(13)

where and are the roots of the quadratic equation , and and are arbitrary fixed periodic functions with period one. If and are taken to be arbitrary constants and is eliminated from (13), then the complete solution of (12) is obtained:

The method of reduction to finite-difference equations is also applied in solving direct problems in functional calculus. For example, let the function be given and suppose it is required to construct the expression (where ). Assume that and write the equation in finite differences , the solution of which is . Thus, for one obtains , that is, . Thus,

Here, if desired, one can write the functional equation , which will have a solution for any , etc. By solving this functional equation by the same method one can construct other solutions . In particular, for odd one gets another real solution .

One also applies substitution methods to solve functional equations. For example, suppose one has the functional equation

(14)

Applying successively the substitutions

(14) implies, respectively,

and

where , . Hence, subtracting the third equation from the sum of the first two equations one obtains . The function is the general solution of (14). This method can also be applied to other equations of the type

under certain assumptions on the function . Various other substitutions can be applied to equations of other types.

The substitution method is also applied to reduce some functional equations to others of the same type; in particular, to functional equations with known solutions. For example, the functional equation

(15)

can be reduced to the Cauchy functional equation

(16)

which has the continuous solution . In order to obtain this solution, is substituted in (15) for and 0 for :

Comparing this with (15) one obtains a functional equation of the form , whence , where and thus . The function is the solution.

Taking logarithms and other methods can also be used to reduce a functional equation to another of the same type. For example, solving the functional equation

(17)

can be reduced to solving the functional equation (16) by taking logarithms. A continuous function satisfying (17) is always strictly positive and the function is continuous (as a composition of continuous functions) and satisfies the condition , . The solution thus is .

In many cases the method of reduction to differential equations can also be applied to solve functional equations. For example, the functional equation (14) can be reduced to an equation of the type . There are other functional equations which reduce to this equation. This method only gives solutions in the class of differentiable functions. For example, the solution to the Cauchy functional equation (16) with the condition that is differentiable can be found in the following way. Differentiating (16) with respect to one obtains , hence, since here is arbitrary, . Then integration gives , where is a new constant. Substituting again the expression found for in (16) one ascertains that for all values of and , . The function is the solution.

Iteration methods are also applied in a number of cases to solve functional equations.

References

[1] L.V. Kantorovich, "On Newton's method" Trudy Mat. Inst. Steklov. , 28 (1949) pp. 104–144 (In Russian)
[2] M.A. Krasnosel'skii, G.M. Vainikko, P.P. Zabreiko, et al., "Approximate solution of operator equations" , Wolters-Noordhoff (1972) (Translated from Russian)
[3] A.A. Samarskii, "Theorie der Differenzverfahren" , Akad. Verlagsgesell. Geest u. Portig K.-D. (1984) (Translated from Russian)
[4] N.S. Bakhvalov, "Numerical methods: analysis, algebra, ordinary differential equations" , MIR (1977) (Translated from Russian)
[5] D.F. Davidenko, , Approximate methods for solving operator equations and their applications , Irkutsk (1982) pp. 71–83 (In Russian)
[6] M.A. Mertvetsova, "Analogue of the process of tangent hyperbolas for general functional equations" Dokl. Akad. Nauk SSSR , 88 : 4 (1953) pp. 611–614 (In Russian)
[7] M.I. Nechepurenko, "On Chebychev's method for functional equations" Uspekhi Mat. Nauk , 9 : 2 (1954) pp. 163–170 (In Russian)
[8] E.E. Tamme, "On approximately solving functional equations by the method of series expansion in the inverse operator" Dokl. Akad. Nauk SSSR , 103 : 5 (1955) pp. 769–772 (In Russian)
[9] I.P. Mysovskikh, "On convergence of L.V. Kantorovich's method for solving non-linear functional equations, and its applications" Vestn. Leningrad. Univ. , 11 (1953) pp. 25–48 (In Russian)
[10] D.F. Davidenko, , Conf. programming and mathematical methods for solving physical problems (1974) pp. 542–548 (In Russian)
[11] B.A. Bel'tyukov, "On a certain method of solution of non-linear functional equations" Zh. Vychisl. Mat. i Mat. Fiz. , 5 : 5 (1965) pp. 927–931 (In Russian)
[12] O. Vaarmann, "Approximations of pseudo-inverse operators as applied to the solution of non-linear equations" Izv. Akad. Nauk EstSSR , 20 : 4 (1971) pp. 386–393 (In Russian) (Estonian and English summaries)
[13] D.F. Davidenko, , Theoretical and applied problems in computing , Moscow (1981) pp. 61–63 (In Russian)
[14] A.I. Liventsov, Mat. Sb. , 8 : 1 (1876) pp. 80–160
[15] D.M. Sintsov, "Notes on functional calculus" Izv. Fiz.-Mat. Obshch. Kazan. Univ. (2) , 13 : 2 (1903) pp. 46–72 (In Russian)


Comments

Reference [a3] has a very complete bibliography for the period 1747–1964.

References

[a1] J.K. Hale, "Functional differential equations" , Springer (1971)
[a2] J. Aczél (ed.) , Functional equations: history, applications and theory , Reidel (1984)
[a3] J. Aczél, "Functional equations and their applications" , Acad. Press (1966)
How to Cite This Entry:
Functional equation, methods of solution of a. Encyclopedia of Mathematics. URL: http://encyclopediaofmath.org/index.php?title=Functional_equation,_methods_of_solution_of_a&oldid=12978
This article was adapted from an original article by D.F. Davidenko (originator), which appeared in Encyclopedia of Mathematics - ISBN 1402006098. See original article