Lagrange principle
principle of stationary action
A variational integral principle in the dynamics of holonomic systems restricted by ideal stationary constraints and occurring under the action of potential forces that do not explicitly depend on time.
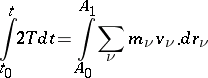
According to Lagrange's principle, in a real motion of a holonomic system for which the energy integral
exists, between a certain initial position
and a final position
, the Lagrange action
![]() |
has a stationary value in comparison with the kinematically possible motions between these positions with the same energy
as in the real motion. Here
and
are the kinetic and the potential energy of the system,
is the amount of motion (momentum) of the
-th point of the system and
and
are the instants when the system passes through the positions
and
.
If the initial and final positions of the system are sufficiently close to one another, then the Lagrange action has a minimum for a real motion; in this connection the Lagrange principle is also called the principle of least action in Lagrange's form.
The Lagrange principle reduces the problem of determining a real motion of the system to the variational Lagrange problem; it expresses a condition that is necessary and sufficient for a real motion [4].
The Lagrange principle in implicit form was first stated by P.L.M. Maupertuis [1]; L. Euler [2] gave a proof of it for the case of the motion of one material point in a central field. J.L. Lagrange [3] extended this principle to more general problems.
References
| [1] | P.L.M. Maupertuis, Histoire l'Acad. Royale Sci. Paris 1744 (1748) pp. 417 |
| [2] | L. Euler, "Methodus inveniendi lineas curvas maximi minimive proprietate gaudentes sive solutio problematis isoperimetrici latissimo sensu accepti" , Lausanne-Geneva (1744) |
| [3] | J.L. Lagrange, "Essai d'une nouvelle méthode pour déterminer les maxima et les minima des formules intégrales indéfinies" J.A. Serret (ed.) , Oeuvres , 1 , G. Olms, reprint (1973) pp. 333–362 |
| [4] | G.K. Suslov, "Theoretical mechanics" , Moscow (1944) (In Russian) |
Comments
References
| [a1] | V.I. Arnol'd, "Mathematical methods of classical mechanics" , Springer (1978) (Translated from Russian) |
| [a2] | E.T. Whittaker, "Analytical dynamics of particles and rigid bodies" , Dover, reprint (1944) |
| [a3] | F.R. [F.R. Gantmakher] Gantmacher, "Lectures in analytical mechanics" , MIR (1975) (Translated from Russian) |
| [a4] | J.L. Lagrange, "Mécanique analytique" , 1–2 , Blanchard, reprint , Paris (1965) ((Also: Oeuvres, Vol. 11.)) |
Lagrange principle. Encyclopedia of Mathematics. URL: http://encyclopediaofmath.org/index.php?title=Lagrange_principle&oldid=12941
