Averaging
The operation of calculating the mean values of functions forming part of the structure of differential equations which describe periodic, almost-periodic, and, generally, oscillating processes. The operation of averaging can be considered as a type of smoothing operator. Averaging methods first came into use in celestial mechanics in the study of planetary motion around the Sun. Later, they propagated to a wide variety of areas: to the theory of non-linear oscillations, to physics, to the theory of automatic control, to astrodynamics, and to others. Averaging methods have often provided approximate solutions for the initial equations. The most typical classes of differential equations for which averaging methods are used are the following.
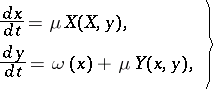
1) Standard systems in the sense of N.N. Bogolyubov
![]() | (1) |
where
are vectors,
is the time, and
is a small positive parameter.
2) Multi-frequency autonomous
-periodic systems
![]() | (2) |
where
are vectors,
![]() |
and
is the frequency vector.
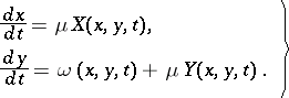
3) Multi-frequency non-autonomous systems
![]() | (3) |
Instead of the systems (1)–(3), "simpler" averaged systems of a first approximation are considered:
![]() | (1prm) |
![]() | (2prm) |
![]() | (3prm) |
where
![]() | (4) |
![]() | (5) |
![]() |
![]() | (6) |
![]() |
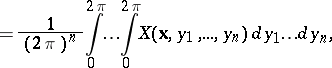
The formulas (4)–(6) express the most widespread averaging methods.
Formula (6) expresses the scheme of averaging "along the generating solution" . In the function
, the vector
is initially substituted by the generating solution of the system
![]() |
![]() |
after which the integral average (6) is calculated.
The principal question which arises when the systems (1)–(3) are changed is the construction of
-estimates for the norms
![]() |
on the largest possible interval (of order
) of time, if
![]() |
This is the essence of the problem of averaging methods. For systems (1), this problem of averaging methods was proposed by Bogolyubov, whose results formed the basis of the modern algorithmic theory of ordinary differential equations.
References
| [1] | N.N. Bogolyubov, Yu.A. Mitropol'skii, "Asymptotic methods in the theory of non-linear oscillations" , Gordon & Breach , Delhi (1961) (Translated from Russian) |
| [2] | Yu.A. Mitropol'skii, "An averaging method in non-linear mechanics" , Kiev (1971) (In Russian) |
| [3] | V.M. Volosov, B.I. Morgunov, "Averaging methods in the theory of non-linear oscillatory systems" , Moscow (1971) (In Russian) |
| [4] | E.A. Grebenikov, Yu.A. Ryabov, "Constructive methods of analysis of non-linear systems" , Moscow (1979) (In Russian) |
Comments
A recent up-to-date treatment of averaging matters is given in [a1].
References
| [a1] | J.A. Sanders, F. Verhulst, "Averaging methods in nonlinear dynamical systems" , Springer (1985) |
Averaging. Encyclopedia of Mathematics. URL: http://encyclopediaofmath.org/index.php?title=Averaging&oldid=12772















