Wick product
Wick monomial, Wick power
The Wick products of random variables arise through an orthogonalization procedure.
Let
be (real-valued) random variables on some probability space
. The Wick product
![]() |
is defined recursively as a polynomial in
of total degree
satisfying
![]() |
and for
,
![]() |
where
denotes expectation. The
notation is traditional in physics.
For example,
![]() |
![]() |
There is a binomial theorem:
![]() |
and a corresponding multinomial theorem. The Wick exponential is defined as
![]() |
so that
![]() | (a1) |
The Wick products, powers and exponentials depend both on the variables involved and on the underlying measure.
Let
be Gaussian random variables with mean zero. Then
![]() | (a2) |
![]() | (a3) |
![]() |
where
![]() |
is the
-th Hermite polynomial with leading coefficient
(cf. Hermite polynomials) and
. Further,
![]() |
This follows from
![]() |
![]() |
a formula that contains a great deal of the combinatorics of Wick monomials.
If there are two measures
and
with respect to which
is Gaussian of mean zero, then
![]() | (a4) |
Let
be jointly Gaussian variabless with mean zero (not necessarily distinct). Then there is an explicit formula for the Wick monomial
, as follows:
![]() | (a5) |
Here,
runs over all pairings of
(sometimes called graphs), i.e. all sets of disjoint unordered pairs of
,
is the union of the unordered pairs making up
, and if
is an unordered pair, then
is the set of vertices making up that pair.
For instance,
![]() |
![]() |
![]() |
Let
,
, be a collection of disjoint finite sets. A line on
is by definition a pair of elements taken from different
. A graph on
is a set of disjoint lines on
. If each
is seen as a vertex with
"legs" emanating from it, then
can be visualized as a set of lines joining legs from different vertices. A graph such that all legs are joined is a (certain special kind of) fully contracted graph, vacuum graph, Feynman graph, or Feynman diagram.
The case of "pairings" which occured above corresponds to a graph on
where each vertex has precisely one leg. In terms of these Feynman diagrams a product of Wick monomials is expressed as a linear combination of Wick monomials as follows.
Let
,
, be a collection of disjoint finite sets,
, and
a collection of jointly Gaussian random variables indexed by
. Then
![]() | (a6) |
where
runs over all graphs on
and
is the union of all the disjoint unordered pairs making up
. More general Feynman graphs, such as graphs with also self-interaction lines, occur when several different covariances are involved, cf. [a4].
For the expection of a product of Wick monomials one has
![]() | (a7) |
and, in particular,
![]() | (a8) |
where
runs over all
ways of splitting up
into
unordered pairs. All of the formulas (a1)–(a4), (a7), (a8), especially (a8), generally go by the name Wick's formula or Wick's theorem.
In the setting of (Euclidean) quantum field theory, let
be the Schwartz space of rapidly-decreasing smooth functions and let
be the space of real-valued tempered distributions. For
, let
be the linear function on
given by
. Then for any continuous positive scalar product
on
,
, there is a unique countably-additive Gaussian measure
on
such that
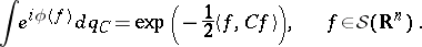
![]() |
Then
for all
and
![]() |
![]() |
So
, and some of the formulas of Wick monomials, etc., now take the form
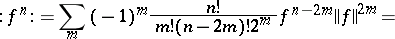
![]() | (a3prm) |
![]() |
![]() |
![]() | (a5prm) |
Wick monomials have much to do with the Fock space via the Itô–Wick–Segal isomorphism. This rest on either of two narrowly related uniqueness theorems: the uniqueness of standard Gaussian functions or the uniqueness of Fock representations.
Let
be a pre-Hilbert space. A representation of the canonical commutation relations over
is a pair of linear mappings
![]() |
from
to operators
,
defined on a dense domain
in a complex Hilbert space
such that
![]() |
![]() |
![]() |
![]() |
for all
,
. The representation is called a Fock representation if there is moreover an
, called the vacuum vector, such that
![]() |
and such that
is the linear space span of the vectors
,
,
. There is an existence theorem (cf. Fock space and Commutation and anti-commutation relationships, representation of) and the uniqueness theorem: If
are two Fock representations over
with vacuum vectors
, then they are unitarily equivalent and the unitary equivalence
is uniquely determined by
.
A standard Gaussian function on a real Hilbert space
(called a Gaussian random process indexed by
in [a3]) is a mapping
from
to the random variables on a probability space
such that (almost everywhere)
![]() |
![]() |
such that the
-algebra generated by the
is
(up to the sets of measure zero) and such that
is a Gaussian random variable of mean zero, and
.
For these objects there is an existence theorem, and also the uniqueness theorem that two standard Gaussian functions
and
on probability spaces
,
are equivalent in the sense that there is an isomorphism of the two probability spaces under which
and
correspond for all
(cf. [a1], §4, [a3], Chap. 1). The uniqueness theorem is a special case of Kolmogorov's theorem that measure spaces are completely determined by consistent joint probability distributions.
Identifying the symmetric Fock space
with the space
realizing the standard Gaussian function on
, the Wick products of the
are obtained by taking the usual products and then applying the orthogonal projection of
onto its
-particle subspace.
In the case of one Gaussian variable
with probability measure
, the above works out as follows:
![]() |
A Fock representation in
is
![]() |
and, indeed,
, which fits because the creation operator on
is
. In terms of the variable
,
![]() |
![]() |
and
![]() |
where in the "binomial expansion of creation and annihilation operatorsbinomial expansion" of
on the right-hand side the annihilation operators
all come before the creation operators
(Wick ordening). Suitably interpreted, the same formula holds in general, [a3], p. 24.
References
| [a1] | R.L. Dobrushin, R.A. Minlos, "Polynomials in linear random functions" Russian Math. Surveys , 32 (1977) pp. 71–127 Uspekhi Mat. Nauk , 32 (1977) pp. 67–122 |
| [a2] | J. Dimock, J. Glimm, "Measures on Schwartz distribution space and applications to field theories" Adv. in Math. , 12 (1974) pp. 58–83 |
| [a3] | B. Simon, "The Euclidean (quantum) field theory" , Princeton Univ. Press (1974) |
| [a4] | J. Glimm, A. Jaffe, "Quantum physics, a functional integral point of view" , Springer (1981) |
Wick product. Encyclopedia of Mathematics. URL: http://encyclopediaofmath.org/index.php?title=Wick_product&oldid=12724











































field theories" Adv. in Math. , 12 (1974) pp. 58–83
Euclidean (quantum) field theory" , Princeton Univ. Press (1974)