Markov process
process without after-effects
A stochastic process whose evolution after a given time
does not depend on the evolution before
, given that the value of the process at
is fixed (briefly; the "future" and "past" of the process are independent of each other for a known "present" ).
The defining property of a Markov process is commonly called the Markov property; it was first stated by A.A. Markov . However, in the work of L. Bachelier
it is already possible to find an attempt to discuss Brownian motion as a Markov process, an attempt which received justification later in the research of N. Wiener (1923). The basis of the general theory of continuous-time Markov processes was laid by A.N. Kolmogorov .
The Markov property.
There are essentially distinct definitions of a Markov process. One of the more widely used is the following. On a probability space
let there be given a stochastic process
,
, taking values in a measurable space
, where
is a subset of the real line
. Let
(respectively,
) be the
-algebra in
generated by the variables
for
(
), where
. In other words,
(respectively,
) is the collection of events connected with the evolution of the process up to time (starting from time)
.
is called a Markov process if (almost certainly) for all
,
the Markov property
![]() | (1) |
holds, or, what is the same, if for any
and
,
![]() | (2) |
A Markov process for which
is contained in the natural numbers is called a Markov chain (however, the latter term is mostly associated with the case of an at most countable
). If
is an interval in
and
is at most countable, a Markov process is called a continuous-time Markov chain. Examples of continuous-time Markov processes are furnished by diffusion processes (cf. Diffusion process) and processes with independent increments (cf. Stochastic process with independent increments), including Poisson and Wiener processes (cf. Poisson process; Wiener process).
In what follows the discussion will concern only the case
, for the sake of being specific. The formulas (1) and (2) give an explicit interpretation of the principle of independence of "past" and "future" events when the "present" is known, but the definition of Markov process based on them has proved to be insufficiently flexible in the numerous situations where one is obliged to consider not one, but a collection of conditions of the type (1) or (2) corresponding to different, but in some sense consistent, measures
. Such reasoning has led to the acceptance of the following definitions (see , ).
Suppose one is given:
a) a measurable space
, where the
-algebra
contains all one-point sets in
;
b) a measurable space
, equipped with a family of
-algebras
,
, such that
if
;
c) a function ( "trajectory" )
, defining for
and
a measurable mapping from
to
;
d) for each
and
a probability measure
on the
-algebra
such that the function
is measurable with respect to
, if
and
.
The collection
is called a (non-terminating) Markov process given on
if
-almost certainly
![]() | (3) |
for any
and
. Here
is the space of elementary events,
is the phase space or state space and
is the transition function or transition probability of
. If
is endowed with a topology and
is the collection of Borel sets in
, then it is commonly said that the Markov process is given on
. Usually included in the definition of a Markov process is the requirement that
, and then
,
, is interpreted as the probability of
under the condition that
.
The following question arises: Is every Markov transition function
, given on a measurable space
, the transition function of some Markov process? The answer is affirmative if, for example,
is a separable, locally compact space and
is the family of Borel sets in
. In addition, let
be a complete metric space and let
![]() |
for any
, where
![]() |
and
is the complement of the
-neighbourhood of
. Then the corresponding Markov process can be taken to be right-continuous and having left limits (that is, its trajectories can be chosen so). The existence of a continuous Markov process is guaranteed by the condition
as
(see , ).
In the theory of Markov processes most attention is given to homogeneous (in time) processes. The corresponding definition assumes one is given a system of objects a)–d) with the difference that the parameters
and
may now only take the value 0. Even the notation can be simplified:
![]() |
![]() |
Subsequently, homogeneity of
is assumed. That is, it is required that for any
and
there is an
such that
for
. Because of this, on the
-algebra
, the smallest
-algebra in
containing the events
, the time shift operators
are defined, which preserve the operations of union, intersection and difference of sets, and for which
![]() |
where
,
.
The collection
is called a (non-terminating) homogeneous Markov process given on
if
-almost certainly
![]() | (4) |
for
,
and
. The transition function of
is taken to be
, where, unless otherwise indicated, it is required that
. It is useful to bear in mind that in the verification of (4) it is only necessary to consider sets of the form
, where
,
, and in (4),
may always replaced by the
-algebra
equal to the intersection of the completions of
relative to all possible measures
. Often, one fixes on
a probability measure
(the "initial distribution" ) and considers a random Markov function
, where
is the measure on
given by
![]() |
A Markov process
is called progressively measurable if for each
the function
induces a measurable mapping from
to
, where
is the
-algebra of Borel subsets of
. A right-continuous Markov process is progressively measurable. There is a method for reducing the non-homogeneous case to the homogeneous case (see ), and in what follows homogeneous Markov processes will be discussed.
The strong Markov property.
Suppose that, on a measurable space
, a Markov process
is given. A function
is called a Markov moment (stopping time) if
for
. Here a set
is considered in the family
if
for
(most often
is interpreted as the family of events connected with the evolution of
up to time
). For
, set
![]() |
A progressively-measurable Markov process
is called a strong Markov process if for any Markov moment
and all
,
and
, the relation
![]() | (5) |
(the strong Markov property) is satisfied
-almost certainly in
. In the verification of (5) it suffices to consider only sets of the form
where
,
; in this case
. For example, any right-continuous Feller–Markov process on a topological space
is a strong Markov process. A Markov process is called a Feller–Markov process if the function
![]() |
is continuous whenever
is continuous and bounded.
In the case of strong Markov processes various subclasses have been distinguished. Let the Markov transition function
, given on a locally compact metric space
, be stochastically continuous:
![]() |
for any neighbourhood
of each point
. If
maps the class of continuous functions that vanish at infinity into itself, then
corresponds to a standard Markov process
. That is, a right-continuous strong Markov process for which: 1)
for
and
for
; 2)
,
-almost certainly on the set
, where
and
(
) are Markov moments that are non-decreasing as
increases.
Terminating Markov processes.
Frequently, a physical system can be best described using a non-terminating Markov process, but only in a time interval of random length. In addition, even simple transformations of a Markov process may lead to processes with trajectories given on random intervals (see Functional of a Markov process). Guided by these considerations one introduces the notion of a terminating Markov process.
Let
be a homogeneous Markov process in a phase space
, having a transition function
, and let there be a point
and a function
such that
for
and
otherwise (unless stated otherwise, take
). A new trajectory
is given for
by the equality
, and
is defined as the trace of
on the set
.
The collection
, where
, is called the terminating Markov process obtained from
by censoring (or killing) at the time
. The variable
is called the censoring time or lifetime of the terminating Markov process. The phase space of the new process is
, where
is the trace of the
-algebra
in
. The transition function of a terminating Markov process is the restriction of
to the set
,
,
. The process
is called a strong Markov process or a standard Markov process if
has the corresponding property. A non-terminating Markov process can be considered as a terminating Markov process with censoring time
. A non-homogeneous terminating Markov process is defined similarly.
M.G. Shur
Markov processes and differential equations.
A Markov process of Brownian-motion type is closely connected with partial differential equations of parabolic type. The transition density
of a diffusion process satisfies, under certain additional assumptions, the backward and forward Kolmogorov equations (cf. Kolmogorov equation):
![]() | (6) |
![]() |
![]() | (7) |
![]() |
The function
is the Green's function of the equations (6)–(7), and the first known methods for constructing diffusion processes were based on existence theorems for this function for the partial differential equations (6)–(7). For a time-homogeneous process the operator
coincides on smooth functions with the infinitesimal operator of the Markov process (see Transition-operator semi-group).
The expectations of various functionals of diffusion processes are solutions of boundary value problems for the differential equation . Let
be the expectation with respect to the measure
. Then the function
satisfies (6) for
and
.
Similarly, the function
![]() |
satisfies, for
,
![]() |
and
.
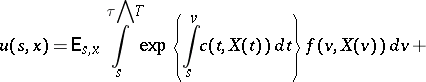
Let
be the time at which the trajectories of
first hit the boundary
of a domain
, and let
. Then, under certain conditions, the function
![]() |
satisfies
![]() |
and takes the value
on the set
![]() |
The solution of the first boundary value problem for a general second-order linear parabolic equation
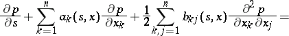
![]() | (8) |
can, under fairly general assumptions, be described in the form
![]() | (9) |
![]() |
When the operator
and the functions
and
do not depend on
, a representation similar to (9) is possible also for the solution of a linear elliptic equation. More precisely, the function
![]() | (10) |
![]() |
is, under certain assumptions, the solution of
![]() | (11) |
When
is degenerate
or
is not sufficiently "smooth" , the boundary values need not be taken by the functions (9), (10) at individual points or on whole sets. The notion of a regular boundary point for
has a probabilistic interpretation. At regular points the boundary values are attained by (9), (10). The solution of (8) and (11) allows one to study the properties of the corresponding diffusion processes and functionals of them.
There are methods for constructing Markov processes which do not rely on the construction of solutions of (6) and (7). For example, the method of stochastic differential equations (cf. Stochastic differential equation), of absolutely-continuous change of measure, etc. This situation, together with the formulas (9) and (10), gives a probabilistic route to the construction and study of the properties of boundary value problems for (8) and also to the study of properties of the solutions of the corresponding elliptic equation.
Since the solution of a stochastic differential equation is insensitive to degeneracy of
, probabilistic methods can be applied to construct solutions of degenerate elliptic and parabolic differential equations. The extension of the averaging principle of N.M. Krylov and N.N. Bogolyubov to stochastic differential equations allows one, with the help of (9), to obtain corresponding results for elliptic and parabolic differential equations. It turns out that certain difficult problems in the investigation of properties of solutions of equations of this type with small parameters in front of the highest derivatives can be solved by probabilistic arguments. Even the solution of the second boundary value problem for (6) has a probabilistic meaning. The formulation of boundary value problems for unbounded domains is closely connected with recurrence in the corresponding diffusion process.
In the case of a time-homogeneous process (
is independent of
), a positive solution of
coincides, under certain assumptions and up to a multiplicative constant, with the stationary density of the distribution of a Markov chain. Probabilistic arguments turn out to be useful even for boundary value problems for non-linear parabolic equations.
R.Z. Khas'minskii
References to all sections are given below.
References
| [1] | A.A. Markov, Izv. Fiz.-Mat. Obshch. Kazan. Univ. , 15 : 4 (1906) pp. 135–156 |
| [2] | L. Bachelier, Ann. Sci. Ecole Norm. Sup. , 17 (1900) pp. 21–86 |
| [3] | A.N. Kolmogorov, "Ueber die analytischen Methoden in der Wahrscheinlichkeitsrechnung" Math. Ann. , 104 (1931) pp. 415–458 |
| [4] | K.L. Chung, "Markov chains with stationary transition probabilities" , Springer (1967) |
| [5] | W. Feller, "The general diffusion operator and positivity-preserving semi-groups in one dimension" Ann. of Math. , 60 (1954) pp. 417–436 |
| [6] | E.B. Dynkin, A.A. Yushkevich, "Strong Markov processs" Theor. Veroyatnost. i Primenen. , 1 : 1 (1956) pp. 149–155 (In Russian) (English abstract) |
| [7a] | G.A. Hunt, "Markov processes and potentials I" Illinois J. Math. , 1 (1957) pp. 44–93 |
| [7b] | G.A. Hunt, "Markov processes and potentials II" Illinois J. Math. , 1 (1957) pp. 316–369 |
| [7c] | G.A. Hunt, "Markov processes and potentials III" Illinois J. Math. , 2 (1958) pp. 151–213 |
| [8] | C. Dellacherie, "Capacités et processus stochastiques" , Springer (1972) |
| [9] | E.B. Dynkin, "Theory of Markov processes" , Pergamon (1960) (Translated from Russian) |
| [10] | E.B. Dynkin, "Markov processes" , 1 , Springer (1965) (Translated from Russian) |
| [11] | I.I. [I.I. Gikhman] Gihman, A.V. [A.V. Skorokhod] Skorohod, "The theory of stochastic processes" , 2 , Springer (1979) (Translated from Russian) |
| [12] | M.I. Freidlin, "Markov processes and differential equations" Itogi Nauk. Teor. Veroyatnost. Mat. Statist. Teoret. Kibernet. 1966 (1967) pp. 7–58 (In Russian) |
| [13] | R.Z. Khas'minskii, "Principle of averaging for parabolic and elliptic partial differential equations and for Markov processes with small diffusion" Theor. Probab. Appl. , 8 (1963) pp. 1–21 Teor. Veroyatnost. i Primenen. , 8 : 1 (1963) pp. 3–25 |
| [14] | A.D. Venttsel', M.I. Freidlin, "Random perturbations of dynamical systems" , Springer (1984) (Translated from Russian) |
| [15] | R.M. Blumenthal, R.K. Getoor, "Markov processes and potential theory" , Acad. Press (1968) |
| [16] | R.K. Getoor, "Markov processes: Ray processes and right processes" , Lect. notes in math. , 440 , Springer (1975) |
| [17] | S.E. Kuznetsov, "Any Markov process in a Borel space has a transition function" Theor. Prob. Appl. , 25 (1980) pp. 384–388 Teor. Veroyatnost. i Primenen. , 25 : 2 (1980) pp. 389–393 |
Comments
References
| [a1] | D.W. Stroock, S.R.S. Varadhan, "Multidimensional diffusion processes" , Springer (1979) |
| [a2] | K.L. Chung, "Lectures from Markov processes to Brownian motion" , Springer (1982) |
| [a3] | J.L. Doob, "Stochastic processes" , Wiley (1953) |
| [a4] | A.D. [A.D. Ventsel'] Wentzell, "A course in the theory of stochastic processes" , McGraw-Hill (1981) (Translated from Russian) |
| [a5] | T.G. Kurtz, "Markov processes" , Wiley (1986) |
| [a6] | W. Feller, "An introduction to probability theory and its applications" , 1–2 , Wiley (1966) |
| [a7] | N. Wax (ed.) , Selected papers on noise and stochastic processes , Dover, reprint (1954) |
| [a8] | M. Kac, "Probability and related topics in physical sciences" , Interscience (1959) pp. Chapt. 4 |
| [a9] | P. Lévy, "Processus stochastiques et mouvement Brownien" , Gauthier-Villars (1965) |
| [a10] | M. Loève, "Probability theory" , II , Springer (1978) |
Markov process. Encyclopedia of Mathematics. URL: http://encyclopediaofmath.org/index.php?title=Markov_process&oldid=12629




























