Namespaces
Variants
Actions

Page theorem

From Encyclopedia of Mathematics
Revision as of 16:56, 7 February 2011 by 127.0.0.1 (talk) (Importing text file)
(diff) ← Older revision | Latest revision (diff) | Newer revision → (diff)
Jump to: navigation, search

Page's theorem on the zeros of Dirichlet -functions. Let be a Dirichlet -function, , with a Dirichlet character modulo , . There are absolute positive constants such that

a) for , ;

b) for , ;

c) for complex modulo ,

(1)

d) for real primitive modulo ,

(2)

e) for there exists at most one , and at most one real primitive modulo for which can have a real zero , where is a simple zero; and for all such that , with a real modulo , one has ().

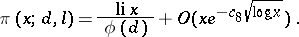
Page's theorem on , the number of prime numbers , () for , where and are relatively prime numbers. With the symbols and conditions of Section 1, on account of a)–c) and e) one has

where or in accordance with whether exists or not for a given ; because of , for any one has for a given ,

(*)

This result is the only one (1983) that is effective in the sense that if is given, then one can state numerical values of and the constant appearing in the symbol . Replacement of the bound in

by the Siegel bound: for , , extends the range of (*) to essentially larger , for any fixed , but the effectiveness of the bound in (*) is lost, since for a given it is impossible to estimate and .

A. Page established these theorems in [1].

References

[1] A. Page, "On the number of primes in an arithmetic progression" Proc. London Math. Soc. Ser. 2 , 39 : 2 (1935) pp. 116–141
[2] A.A. Karatsuba, "Fundamentals of analytic number theory" , Moscow (1975) (In Russian)
[3] K. Prachar, "Primzahlverteilung" , Springer (1957)
How to Cite This Entry:
Page theorem. Encyclopedia of Mathematics. URL: http://encyclopediaofmath.org/index.php?title=Page_theorem&oldid=11725
This article was adapted from an original article by A.F. Lavrik (originator), which appeared in Encyclopedia of Mathematics - ISBN 1402006098. See original article