Multinomial distribution
polynomial distribution
The joint distribution of random variables
that is defined for any set of non-negative integers
satisfying the condition
,
,
, by the formula
![]() | (*) |
where
(
,
) are the parameters of the distribution. A multinomial distribution is a multivariate discrete distribution, namely the distribution for the random vector
with
(this distribution is in essence
-dimensional, since it is degenerate in the Euclidean space of
dimensions). A multinomial distribution is a natural generalization of a binomial distribution and coincides with the latter for
. The name of the distribution is given because the probability (*) is the general term in the expansion of the multinomial
. The multinomial distribution appears in the following probability scheme. Each of the random variables
is the number of occurrences of one of the mutually exclusive events
,
, in repeated independent trials. If in each trial the probability of event
is
,
, then the probability (*) is equal to the probability that in
trials the events
will appear
times, respectively. Each of the random variables
has a binomial distribution with mathematical expectation
and variance
.
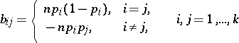
The random vector
has mathematical expectation
and covariance matrix
, where
![]() |
(the rank of the matrix
is
because
). The characteristic function of a multinomial distribution is
![]() |
For
, the distribution of the vector
with normalized components
![]() |
tends to a certain multivariate normal distribution, while the distribution of the sum
![]() |
(which is used in mathematical statistics to construct the "chi-squared" test) tends to the "chi-squared" distribution with
degrees of freedom.
References
| [1] | H. Cramér, "Mathematical methods of statistics" , Princeton Univ. Press (1946) |
Comments
References
| [a1] | N.L. Johnson, S. Kotz, "Discrete distributions" , Wiley (1969) |
Multinomial distribution. Encyclopedia of Mathematics. URL: http://encyclopediaofmath.org/index.php?title=Multinomial_distribution&oldid=11687




