Linking coefficient
An integer or fraction associated with two disjoint cycles
and
in an
-dimensional manifold
whose homology classes are members of the torsion subgroups of the integral homologies
and
, respectively. The simplest example is the linking coefficient of two non-intersecting closed rectifiable curves
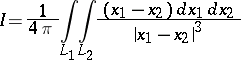
in
, given by the so-called Gauss integral:
![]() |
(here
and
are the radius vectors of
and
).
The concept of the linking coefficient generalizes to the case of closed oriented manifolds
and
in
: the linking coefficient is equal to the degree of the mapping (cf. Degree of a mapping)
of the oriented direct product
into the sphere
, where
,
, is the point at which
is cut by a ray through the origin parallel to the vector
. The linking coefficient is equal to the intersection index (in homology) of any
-chain
such that
with the cycle
, divided by
. This number is independent of the choice of
. If the roles of the cycles
and
are interchanged, the linking coefficient is multiplied (in the orientable case) by
. If either of the cycles is replaced by a homological cycle in the complement to the other cycle, the linking coefficient remains the same. This is the basis for the linking interpretation of Alexander duality. If one of the cycles is replaced by a homological cycle, the linking coefficient varies by an integer, thus defining a pairing of torsion subgroups in
and
with values in the quotient group
, where
denotes the set of rational numbers. This pairing establishes a Pontryagin duality between them. In particular, considering the torsion subgroup of
in the case
, it defines a non-degenerate quadratic form of self-linkings with values in
, which is a homotopy invariant of the manifold. For example, this was what led to the first observations of asymmetric manifolds, which were particular lens manifolds (cf. Lens space).
Linking coefficients are also considered in other coefficient domains; for example, if a group
is acting freely on the manifold, the homology groups are group modules and the linking coefficient is defined in a suitably localized group ring.
References
| [1] | H. Seifert, W. Threlfall, "Lehrbuch der Topologie" , Chelsea, reprint (1980) |
| [2] | L.S. Pontryagin, "Smooth manifolds and their applications in homotopy theory" Transl. Amer. Math. Soc. , 11 (1959) pp. 1–114 Trudy Mat. Inst. Steklov. , 45 (1955) |
Comments
References
| [a1] | E.H. Spanier, "Algebraic topology" , Springer (1978) |
Linking coefficient. Encyclopedia of Mathematics. URL: http://encyclopediaofmath.org/index.php?title=Linking_coefficient&oldid=11630
