Fundamental solution
of a linear partial differential equation
A solution of a partial differential equation
,
, with coefficients of class
, in the form of a function
that satisfies, for fixed
, the equation
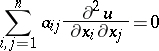
![]() |
which is interpreted in the sense of the theory of generalized functions, where
is the delta-function. There is a fundamental solution for every partial differential equation with constant coefficients, and also for arbitrary elliptic equations. For example, for the elliptic equation
![]() |
with constant coefficients
forming a positive-definite matrix
, a fundamental solution is provided by the function
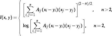
![]() |
where
is the cofactor of
in the matrix
.
Fundamental solutions are widely used in the study of boundary value problems for elliptic equations.
References
| [1] | V.S. Vladimirov, "Generalized functions in mathematical physics" , MIR (1979) (Translated from Russian) |
| [2] | L. Bers, F. John, M. Schechter, "Partial differential equations" , Interscience (1964) |
| [3] | F. John, "Plane waves and spherical means: applied to partial differential equations" , Interscience (1955) |
Comments
Fundamental solutions are also used in the study of Cauchy problems (cf. Cauchy problem) for hyperbolic and parabolic equations. The name "elementary solution of a linear partial differential equationelementary solution" is also used.
See also Green function.
References
| [a1] | A. Friedman, "Partial differential equations of parabolic type" , Prentice-Hall (1964) |
| [a2] | O.A. Ladyzhenskaya, N.N. Ural'tseva, "Linear and quasilinear elliptic equations" , Acad. Press (1968) (Translated from Russian) |
| [a3] | O.A. Ladyzhenskaya, V.A. Solonnikov, N.N. Ural'tseva, "Linear and quasilinear parabolic equations" , Amer. Math. Soc. (1968) (Translated from Russian) |
| [a4] | L. Schwartz, "Théorie des distributions" , 1–2 , Hermann (1957–1959) |
| [a5] | I.M. Gel'fand, G.E. Shilov, "Generalized functions" , Acad. Press (1964) (Translated from Russian) |
Fundamental solution. Encyclopedia of Mathematics. URL: http://encyclopediaofmath.org/index.php?title=Fundamental_solution&oldid=11510


