Hypergeometric series
Gauss series
A series of the form
![]() |
![]() |
Such a series is meaningful if
is not equal to zero or to a negative integer; it converges for
. If, in addition,
, it also converges for
. In such a case the Gauss formula
![]() |
where
is the gamma-function, holds. An analytic function defined with the aid of a hypergeometric series is said to be a hypergeometric function.
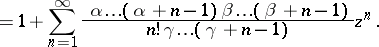
A generalized hypergeometric series is a series of the form
![]() |
![]() |
where
. If this notation is used, the series
is written as
.
Comments
Generalized hypergeometric series can be characterized as power series
such that
is a rational function of
. An analogous characterization for series in two variables was given by J. Horn. This yields a class of power series in two variables which includes the various Appell's hypergeometric series, cf. [a1].
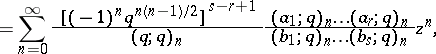
Basic hypergeometric series can be characterized as power series
such that
is a rational function of
, where
is a fixed complex number not equal to 0 or 1. Such series have the form
![]() |
![]() |
where
. See [a2].
Hypergeometric functions of matrix argument have also been studied, cf. [a3].
References
| [a1] | P. Appell, M.J. Kampé de Fériet, "Fonctions hypergéométriques et hypersphériques: Polynômes d'Hermite" , Gauthier-Villars (1926) |
| [a2] | G. Gasper, M. Rahman, "Basic hypergeometric series" , Cambridge Univ. Press (1989) |
| [a3] | K. Gross, D. Richards, "Special functions of matrix argument I" Trans. Amer. Math. Soc. , 301 (1987) pp. 781–811 |
Hypergeometric series. Encyclopedia of Mathematics. URL: http://encyclopediaofmath.org/index.php?title=Hypergeometric_series&oldid=11231






