Tonelli theorem
on the finiteness of the area of a continuous surface given by an explicit equation
Suppose that
is a real-valued function defined on a rectangle
; then
a) the continuous surface
,
, has finite area
if and only if
has finite Tonelli plane variation on
;
b) if the assertion in a) holds, then
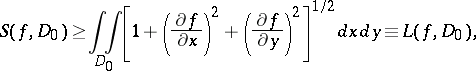
![]() |
where the area
![]() |
is a continuous additive function of rectangles
, and for almost-every point
one has the equation
![]() |
c) the equation
holds if and only if the function
is absolutely continuous on
, and this holds if and only if the area
is an absolutely-continuous function of rectangles
.
This theorem was proved by L. Tonelli (cf. [1]–[3], and also [4]), although assertion a) for all surfaces defined parametrically was established by S. Banach [5] (in a somewhat different terminology).
References
| [1] | L. Tonelli, "Sur la quadrature des surfaces" C.R. Acad. Sci. Paris , 182 (1926) pp. 1198–2000 |
| [2] | L. Tonelli, "Sulla quadratura delle superficie" Atti Accad. Naz. Lincei , 3 (1926) pp. 357–363; 445–450; 633–658 |
| [3] | L. Tonelli, "Su un polinomio d'approssimazione e l'area di una superficie" Atti Accad. Naz. Lincei , 5 (1927) pp. 313–318 |
| [4] | S. Saks, "Theory of the integral" , Hafner (1952) (Translated from French) |
| [5] | S. Banach, "Sur les lignes rectifiables et les surfaces dont l'aire est finie" Fund. Math. , 7 (1925) pp. 225–236 |
Comments
The surface
is said to be continuous if
is continuous; the area
is the Lebesgue area (see Area), i.e. roughly speaking the liminf of the values of the areas of the polyhedra inscribed in the surface when these polyhedra uniformly tend to the surface. The definition of
(a surface integral) makes sense if the partial derivatives are defined almost-everywhere; this is the case whenever
is absolutely continuous. Tonelli's theorem is the culmination of the 19th century style attempts to grasp the concept of area as it had been done for the concept of length. For modern work in this field see Area.
Tonelli theorem. Encyclopedia of Mathematics. URL: http://encyclopediaofmath.org/index.php?title=Tonelli_theorem&oldid=48985


