Namespaces
Variants
Actions

Spectral semi-invariant

From Encyclopedia of Mathematics
Revision as of 16:59, 7 February 2011 by 127.0.0.1 (talk) (Importing text file)
(diff) ← Older revision | Latest revision (diff) | Newer revision → (diff)
Jump to: navigation, search

spectral cumulant

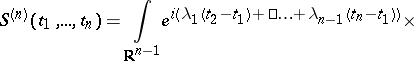
One of the characteristics of a stationary stochastic process. Let , , be a real stationary stochastic process for which . The semi-invariants (cf. Semi-invariant) of this process,

are connected with the moments

by the relations

where

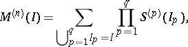
and the summation is over all partitions of into disjoint subsets . It is said that if, for all , there is a complex measure of bounded variation on such that for all ,

A measure , defined on a system of Borel sets, is called a spectral semi-invariant if, for all ,

The measure exists and has bounded variation if . In the case of a stationary process , the semi-invariants are invariant under translation:

and the spectral measures and are concentrated on the manifold . If the measure is absolutely continuous with respect to Lebesgue measure on this manifold, then there is a spectral density of order , defined by the equations

for all . In the case of discrete time one must replace in all formulas above by the -dimensional cube , .

References

[1] Yu.V. [Yu.V. Prokhorov] Prohorov, Yu.A. Rozanov, "Probability theory, basic concepts. Limit theorems, random processes" , Springer (1969) (Translated from Russian)
[2] V.P. Leonov, "Some applications of higher semi-invariants to the theory of stationary stochastic processes" , Moscow (1964) (In Russian)
How to Cite This Entry:
Spectral semi-invariant. Encyclopedia of Mathematics. URL: http://encyclopediaofmath.org/index.php?title=Spectral_semi-invariant&oldid=48762
This article was adapted from an original article by I.G. Zhurbenko (originator), which appeared in Encyclopedia of Mathematics - ISBN 1402006098. See original article