Sheppard corrections
for moments
Corrections to the discretization of the realizations of continuous random variables, used in order to diminish systematic errors in the problem of estimating the moments of the continuous random variables under a given system of rounding-off. Such corrections were first proposed by W.F. Sheppard [1].
Let
be a continuously-distributed random variable for which the probability density
,
, has an everywhere continuous derivative
of order
on
such that
![]() |
for some
, and let the moments (cf. Moment)
exist. Further, let a system of rounding-off the results of observations be given (i.e. an origin
and a step
,
, are given), the choice of which leads to the situation, when instead of the realizations of the initial continuous random variable
, in reality one observes realizations
,
of a discrete random variable
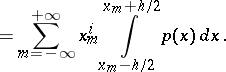
![]() |
where
is the integer part of
. The moments
,
, of
are computed from the formula
![]() |
![]() |
Generally speaking,
. Thus a question arises: Is it possible to adjust the moments
in order to obtain "good" approximations to the moments
? The Sheppard corrections give a positive answer to this question.
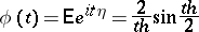
Let
be the characteristic function of the random variable
, let
be the characteristic function of the random variable
, and let
![]() |
be the characteristic function of a random variable
which is uniformly distributed on
and which is stochastically independent of
. Under these conditions, for a small
,
![]() |
hence the moments of the discrete random variable
coincide up to
with the moments of the random variable
and, thus, up to
, the following equalities hold:
![]() |
![]() |
![]() |
![]() |
which contain the so-called Sheppard corrections for the moments
.
References
| [1] | W.F. Sheppard, "On the calculation of the most probable values of frequency-constants, for data arranged according to equidistant divisions of a scale" Proc. Lond. Math. Soc. , 29 (1898) pp. 353–380 |
| [2] | H. Cramér, "Mathematical methods of statistics" , Princeton Univ. Press (1946) |
| [3] | S.S. Wilks, "Mathematical statistics" , Wiley (1962) |
| [4] | B.L. van der Waerden, "Mathematische Statistik" , Springer (1957) |
Sheppard corrections. Encyclopedia of Mathematics. URL: http://encyclopediaofmath.org/index.php?title=Sheppard_corrections&oldid=48682









