Semi-martingale
A stochastic process that can be represented as the sum of a local martingale and a process of locally bounded variation. For the formal definition of a semi-martingale one starts from a stochastic basis
, where
(cf. Stochastic processes, filtering of). A stochastic process
is called a semi-martingale if its trajectories are right-continuous and have left limits, and if it can be represented in the form
, where
is a local martingale and
is a process of locally bounded variation, that is,
![]() |
In general this representation is non-unique. But in the class of representations with predictable processes
, the representation is unique (up to stochastic equivalence). The following belong to the class of semi-martingales (apart from local martingales and processes of locally bounded variation): local super-martingales and submartingales, processes
with independent increments for which
is a function of locally bounded variation for any
(and so all processes with stationary independent increments), Itô processes, diffusion-type processes, and others. The class of semi-martingales is invariant under an equivalent change of measure. If
is a semi-martingale and
is twice continuously differentiable, then
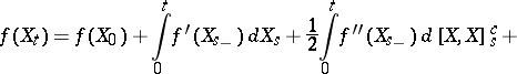
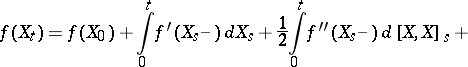
is also a semi-martingale. Here (Itô's formula)
![]() |
![]() |
or, equivalently,
![]() |
![]() |
where
is the quadratic variation of the semi-martingale
, that is,
![]() |
![]() |
is the continuous part of the quadratic variation
,
, and the integrals are understood as stochastic integrals with respect to a semi-martingale (cf. Stochastic integral).
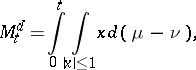
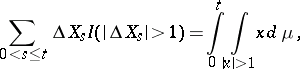
If
is a semi-martingale, then the process
with
![]() |
has bounded jumps,
, and so can be uniquely represented as
![]() |
where
is a predictable random process of locally bounded variation and
is a local martingale. This martingale can be uniquely represented as
, where
is a continuous local martingale (a continuous martingale forming the semi-martingale
) and
is a purely-discontinuous local martingale that can be written in the form
![]() |
where
is the random jump measure of
, that is,
![]() |
and
is its compensator. Since
![]() |
each semi-martingale
admits a representation
![]() |
called the canonical representation (decomposition).
The set of (predictable) characteristics
, where
is the quadratic characteristic of
, that is, a predictable increasing process such that
is a local martingale, is called a triplet of local (predictable) characteristics of
.
References
| [1] | J. Jacod, "Calcul stochastique et problèmes de martingales" , Lect. notes in math. , 714 , Springer (1979) |
| [2] | R.Sh. Liptser, A.N. [A.N. Shiryaev] Shiryayev, "Theory of martingales" , Kluwer (1989) (Translated from Russian) |
Comments
See also Itô formula and Stochastic integral. Semi-martingales are the most general stochastic processes with respect to which it is possible to integrate predictable processes in a reasonable way.
References
| [a1] | K. Bichteler, "The stochastic integral as a vector measure" , Measure Theory (Oberwolfach, 1979) , Lect. notes in math. , 794 , Springer (1980) pp. 348–360 |
| [a2] | C. Dellacherie, "Un survol de la théorie de l'intégrale stochastique" , Measure Theory (Oberwolfach, 1979) , Lect. notes in math. , 794 , Springer (1980) pp. 365–395 |
| [a3] | C. Dellacherie, P.A. Meyer, "Probabilités et potentiels" , 2 , Hermann (1980) pp. Chapts. V-VIII: Théorie des martingales |
| [a4] | M. Metivier, "Semimartingales" , de Gruyter (1982) |
| [a5] | L. Schwartz, "Les semi-martingales formelles" , Sem. Probab. XV , Lect. notes in math. , 850 , Springer (1981) pp. 413–489 |
| [a6] | J. Jacod, A.N. Shiryaev, "Limit theorems for stochastic processes" , Springer (1987) (Translated from Russian) |
Semi-martingale. Encyclopedia of Mathematics. URL: http://encyclopediaofmath.org/index.php?title=Semi-martingale&oldid=48663












