Namespaces
Variants
Actions

Semi-geodesic coordinates

From Encyclopedia of Mathematics
Revision as of 17:28, 7 February 2011 by 127.0.0.1 (talk) (Importing text file)
(diff) ← Older revision | Latest revision (diff) | Newer revision → (diff)
Jump to: navigation, search

geodesic normal coordinates

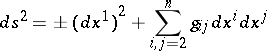
Coordinates in an -dimensional Riemannian space, defined by the following characteristic property: the coordinate curves in the direction of are geodesics for which is the arc length parameter, and the coordinate surfaces are orthogonal to these geodesics. In terms of semi-geodesic coordinates, the squared line element is given by

Semi-geodesic coordinates can be introduced in a sufficiently small neighbourhood of any point of an arbitrary Riemannian space. In many types of two-dimensional Riemannian spaces (such as regular surfaces of strictly negative curvature), semi-geodesic coordinates can be introduced in the large.

In the two-dimensional case, the squared line element is usually written as

The total (Gaussian) curvature may be determined from the formula

In the theory of two-dimensional Riemannian manifolds with curvature of fixed sign, an important role is assigned to a special type of semi-geodesic coordinates — the geodesic polar coordinates . In this case all geodesic coordinate curves intersect at one point (the pole) and is the angle between the coordinate curves and . Any curve is called a geodesic circle. The squared line element in a neighbourhood of the pole is written as

in geodesic polar coordinates, where is the total (Gaussian) curvature at the point , is the derivative of with respect to at in the direction of the geodesic , and is the similarly defined derivative in the direction of the geodesic .

When geodesic coordinates are defined in a pseudo-Riemannian space, it is often stipulated that the geodesics corresponding to should not be isotropic. In the case the squared line element is written as

(the plus or minus sign depends on the sign of the square of the integral of the tangent vector to the -curve).


Comments

Results similar to the -dimensional case hold in arbitrary dimensions [a2]. For the introduction of semi-geodesic coordinates (in a sufficiently small neighbourhood of an arbitrary point) in a Riemannian space see [a1]. (It is done as follows: take a small piece of the hypersurface at the point and take for -coordinates sufficiently short normal geodesics to this hypersurface.)

References

[a1] W. Klingenberg, "A course in differential geometry" , Springer (1983) (Translated from German)
[a2] W. Klingenberg, "Riemannian geometry" , de Gruyter (1982) (Translated from German)
[a3] B. O'Neill, "Semi-Riemannian geometry (with applications to relativity)" , Acad. Press (1983)
[a4] S. Kobayashi, K. Nomizu, "Foundations of differential geometry" , 1–2 , Interscience (1963–1969)
How to Cite This Entry:
Semi-geodesic coordinates. Encyclopedia of Mathematics. URL: http://encyclopediaofmath.org/index.php?title=Semi-geodesic_coordinates&oldid=48658
This article was adapted from an original article by D.D. Sokolov (originator), which appeared in Encyclopedia of Mathematics - ISBN 1402006098. See original article