Privalov operators
Privalov parameters
Operators that allow one to express the condition of harmonicity of a function without using partial derivatives (cf. Harmonic function). Let
be a locally integrable function in a bounded domain
of a Euclidean space
,
; let
denote the volume of the ball
of radius
with centre
, lying in
; and let
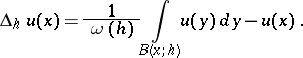
![]() |
The upper and lower Privalov operators
and
are defined, respectively, by the formulas
![]() |
![]() |
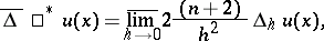
If the upper and lower Privalov operators coincide, then the Privalov operator
is defined by
![]() |
If the function
has continuous partial derivatives up to and including the second order at
, then the Privalov operator
exists at
and is equal to the value of the Laplace operator:
. Privalov's theorem says: If a function
, continuous in a domain
, satisfies everywhere in
the conditions
![]() |
then
is harmonic in
. This implies that a function
, continuous in
, is harmonic if and only if at every point
one has
, from some sufficiently small
onwards, or, in other words, if and only if
![]() |
The average value over the volume of a sphere can be replaced by that over the surface area.
References
| [1] | I.I. Privalov, Mat. Sb. , 32 (1925) pp. 464–471 |
| [2] | I.I. Privalov, "Subharmonic functions" , Moscow-Leningrad (1937) (In Russian) |
| [3] | M. Brélot, "Eléments de la théorie classique du potentiel" , Sorbonne Univ. Centre Doc. Univ. , Paris (1969) |
Comments
More generally, if
is lower semi-continuous, then
is hyperharmonic if and only if
on
(the theorem of Blaschke–Privalov).
Similar results hold if the average value over the surface area is used for the operators and
is replaced by
.
Privalov operators. Encyclopedia of Mathematics. URL: http://encyclopediaofmath.org/index.php?title=Privalov_operators&oldid=48295





