Namespaces
Variants
Actions

Potentials, method of

From Encyclopedia of Mathematics
Revision as of 17:22, 7 February 2011 by 127.0.0.1 (talk) (Importing text file)
(diff) ← Older revision | Latest revision (diff) | Newer revision → (diff)
Jump to: navigation, search

A method for studying boundary value problems in mathematical physics by reducing them to integral equations; this method consists in representing the solutions of these problems in the form of (generalized) potentials.

Let a second-order elliptic partial differential equation be given in , ,

(1)

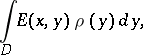
with sufficiently smooth coefficients , , , and right-hand side ; moreover, let outside some bounded domain containing in its interior a domain with boundary of class . Then any solution of class of (1) can be represented as the sum of three (generalized) potentials: a volume mass potential (cf. Newton potential)

(2)

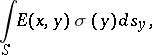
a single-layer potential (cf. Simple-layer potential)

(3)

and a double-layer potential

(4)

where is a principal fundamental solution of , the symbol denotes the operator

acting at a point , is a unit co-normal vector at the point ,

and is the exterior normal vector to at . The potential densities , and are sufficiently-smooth functions in or on .

All differentiability and boundary properties of harmonic potentials described in the article Potential theory for the case when is the Laplace operator are valid for the potentials (2)–(4). On the basis of these properties one can reduce boundary value problems for elliptic equations of type (1) to integral equations in the same way as it has been done in the case of the Dirichlet and Neumann problems for harmonic functions in the article Potential theory.

References

[1] C. Miranda, "Partial differential equations of elliptic type" , Springer (1970) (Translated from Italian)
[2] A.V. Bitsadze, "Boundary value problems for second-order elliptic equations" , North-Holland (1968) (Translated from Russian)
[3] V.S. Vladimirov, "Equations of mathematical physics" , M. Dekker (1971) (Translated from Russian)
[4] V.D. Kupradze, "The method of potentials in elasticity theory" , Moscow (1963) (In Russian)
[5] L.M. Milne-Thomson, "Theoretical hydrodynamics" , Macmillan (1949)


Comments

References

[a1] J. Král, "Integral operators in potential theory" , Lect. notes in math. , 823 , Springer (1980)
[a2] C.G. Simader, "On Dirichlet's boundary value problem" , Springer (1972)
[a3] D.L. Colton, R. Kress, "Integral equation methods in scattering theory" , Wiley (1983)
[a4] M. Jawson, G. Symm, "Integral equation methods in potential theory and elastostatics" , Acad. Press (1977)
How to Cite This Entry:
Potentials, method of. Encyclopedia of Mathematics. URL: http://encyclopediaofmath.org/index.php?title=Potentials,_method_of&oldid=48270
This article was adapted from an original article by E.D. Solomentsev (originator), which appeared in Encyclopedia of Mathematics - ISBN 1402006098. See original article